Chemisches Missing Link gefunden?
von Boris Schmidtgall
Studium Integrale Journal
23. Jahrgang / Heft 2 - Oktober 2016
Seite 108 - 110
Zusammenfassung: Bis vor kurzem galt die Synthese von Purinnukleosiden* als ungelöstes Problem der präbiotischen Chemie. In einem aktuellen Artikel der Wissenschaftszeitschrift Science hat ein Forscherteam einen Syntheseweg als „plausibles Szenario“ der erstmaligen Purinnukleosid-Entstehung vorgeschlagen. Eine nähere Betrachtung der Reaktionsbedingungen und Resultate zeigt jedoch, dass es sich um eine von Experten sorgfältig geplante und durchgeführte Synthese handelt und nicht um eine realistische Simulation präbiotischer Vorgänge.
Einführung
Die Frage nach der erstmaligen Entstehung von Lebewesen gilt nach wie vor als eines der hartnäckigsten Probleme der Evolutionslehre. Daher ist es nicht ungewöhnlich, dass wissenschaftliche Veröffentlichungen, in denen wesentliche Beiträge zur Auflösung dieses Rätsels vorgeschlagen werden, sehr große Aufmerksamkeit erfahren. In solchen Artikeln werden oft chemische Reaktionen oder Reaktionsabfolgen beschrieben, die unter mutmaßlichen präbiotischen* Bedingungen stattgefunden haben könnten und zu Molekülen führen, die am materiellen Aufbau von Lebewesen beteiligt sind. Besonders hohen Stellenwert hat dabei die Suche nach einer Erklärung für die erstmalige Entstehung der Nukleotide, aus denen Nukleinsäuren aufgebaut sind (Moleküle, die das Erbgut aller Lebewesen tragen).
Eine Hypothese verliert ihren Status und wird ersetzt

Abb. 1: Bausteine der Ribonukleinsäuren (RNA): die vier kanonischen Nukleoside.
Vor einigen Jahren wurde von Powner et al. (2009) ein präbiotischer Syntheseweg zu Pyrimidinnukleotiden* (Bausteine von Nukleinsäuren, s. Abb. 1: Pyrimidinnukleoside) vorgeschlagen, der von vielen Forschern zitiert und lobend kommentiert wurde (s. z. B. Higgs 2014, im Literaturverweis). Die Arbeit von Powner wurde von Binder kritisch analysiert (2009). Die Frage nach der erstmaligen Entstehung von Purinnukleosiden (Abb. 1) galt dagegen bislang als ungelöst, auch wenn bereits vor über 40 Jahren erste Experimente von Fuller et al. (1972) dazu durchgeführt und beschrieben wurden.
Während Fuller et al. (1972) ihre Ergebnisse als ausreichend für die Erklärung der Entstehung von Purinnukleosiden einschätzten1, äußerten sich Wissenschaftler in der Folgezeit kritischer. Konsequenterweise sahen sich einige Forschergruppen motiviert, das noch fehlende chemische „missing link“ zu suchen. Kürzlich wurde ein Beitrag von Becker et al. (2016) über die präbiotische Synthese von Purinnukleosiden sogar in der renommierten Wissenschaftszeitschrift „Science“ publiziert.
Es fällt auf, dass Becker et al. sich gründlich überlegt haben, wie die „präbiotische“ Synthese der Purinnukleoside gelingen könnte, bevor sie ihr Vorhaben in die Tat umgesetzt haben. Dazu gehörte eine eingehende Analyse der Ursachen für die geringen Ausbeuten und die wenig ausgeprägte chemische Selektivität der von Fuller et al. früher durchgeführten Synthese. Als Hauptgrund wurde die schwach ausgeprägte Reaktivität des N9-Atoms der Purinbasen (Adenin, Guanin) ausgemacht, also ausgerechnet desjenigen Stickstoffatoms, das in natürlich vorkommenden Purinnukleosiden an die Zuckereinheit (Ribose) gebunden ist (s. Abb. 2). Wegen dessen geringer Reaktivität verlaufen die Reaktionen von Purinbasen mit Ribose unter geringer Regioselektivität, d. h. es entstehen mehrere unterschiedlich verknüpfte Moleküle (s. Abb. 2).

Abb. 2: Reaktion von Ribose und Adenin nach Fuller et al. (1972). 
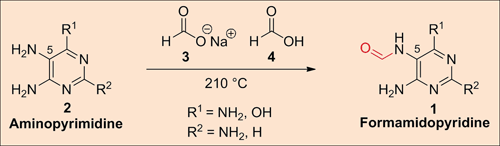
Abb. 3: Synthese von Formamidopyridinen ausgehend von Aminopyridinen.
Folglich wurde eine Alternative zu den Purinbasen als Ausgangsmaterial gesucht. Durch scharfsinnige Symmetrie- und Reaktivitätsanalysen gelangten die Autoren zu den Formamidopyrimidinen 1 (FaPys) (Abb. 3). Diese chemischen Verbindungen können ausgehend von Aminopyrimidinen 2 durch Sieden in einem Gemisch aus Natriumformiat 3 und Ameisensäure 4 erhalten werden. Auffallend ist schon bei dieser Umsetzung die wasserfreie Reaktionsführung. Eine weitere interessante Eigenschaft dieser Reaktion ist ihre Selektivität. Es reagiert nämlich ausschließlich die in Position 5 befindliche Aminogruppe des Moleküls (Abb. 3).
Dieser Aspekt wurde von den Autoren selbstverständlich in die Syntheseplanung einbezogen. Nach der Reaktion wurden die FaPys durch gezieltes Einstellen des pH-Werts kristallisiert und von der Reaktionsmischung durch Filtration getrennt. Mit dem reinen Produkt konnte der nächste Schritt durchgeführt werden. Die FaPys wurden zunächst mit Ribose in trockener Form zur Reaktion gebracht, wobei vermutlich das Zwischenprodukt 5 resultierte (Abb. 4). Anschließend wurde das Gemisch in einer alkalischen Lösung (0,5 M Ammoniak) aufgenommen und einige Tage in einem Druckgefäß erhitzt. Dadurch wurde die Ringschluss-Reaktion des Zwischenprodukts 5 unter Austritt von Wasser bewirkt, sodass schließlich Purinnukleoside 6 erhalten wurden (s. Abb. 4).
Kritische Analyse der Ausführungen von Becker et al.

Abb. 4: Synthese von Nukleosiden ausgehend von Ribose und FaPys (zu R1 und R2 s. Abb. 3).
Die Autoren des Artikels beurteilen den von ihnen untersuchten Syntheseweg als realistisches Szenario der präbiotischen Entstehung von Purinnukleosiden. Ob diese Einschätzung gerechtfertigt ist, wurde jedoch in keiner Weise kritisch hinterfragt. Dabei geben die durchaus anspruchsvollen Verfahren, die in der Publikation beschrieben werden, reichlich Anlass zu weiterführenden Fragen. Es werden die genau eingestellten Versuchsbedingungen beschrieben, die zu maximalen Ausbeuten und hohen Selektivitäten führen (pH-Wert, Konzentration der chemischen Verbindungen, Temperatur, Zeit etc.). Es sind allerdings keinerlei Kontrollversuche zur Variation der eingestellten Parameter dokumentiert worden. So wäre es z. B. von Interesse zu prüfen, ob die Synthese der FaPys bei Vorhandensein von Wasser ebenfalls gelingt, da die Abwesenheit von Wasser bei präbiotischen Vorgängen extrem unwahrscheinlich ist. Des Weiteren hätte anhand weniger zusätzlicher Versuche gezeigt werden können, wie empfindlich die Synthese der Nukleoside gegenüber einer stufenweisen Veränderung des pH-Werts ist. Ein sehr wichtiger Parameter ist auch die Zeit. Wenn angenommen wird, dass die Nukleoside durch Reaktion einiger kleiner Moleküle und anschließendes Erhitzen des Zwischenprodukts 5 auf 100 °C für 8 Stunden entstanden sind, hätten einige wenige Kontrollversuche mit längeren Reaktionszeiten unbedingt durchgeführt werden müssen. Schließlich kann nicht davon ausgegangen werden, dass unter geologischen Bedingungen nach genau 8 Stunden die Temperatur sinkt, wenn sie bis dahin bei 100 °C gelegen hat. Darüber hinaus wurden einige Reaktionen bei sehr unrealistischen Konzentrationen der beteiligten Komponenten durchgeführt (z. B. 0,5 M Ammoniak). Wie das Ergebnis bei geringeren Konzentrationen der betreffenden Ausgangsstoffe aussieht, geht aus der Arbeit nicht hervor. In einigen Fällen wurden die Reaktionen sogar in geschlossenen Reaktoren unter erhöhtem Druck geführt, um ein Entweichen des an der Reaktion beteiligten Ammoniaks zu verhindern. Wie unter geologischen Bedingungen ein Wechsel zwischen „verschlossenem Reaktionsgefäß“ und offenem System realisiert werden könnte, stellt allerdings ein schwerwiegendes Problem dar. Auch die schrittweise Zugabe der einzelnen Komponenten zum Reaktionsgemisch wurde nicht weiter kommentiert. Dabei wurde die Reihenfolge der Zugabe ausgehend vom gewünschten Ergebnis gewählt. Die berechtigte Frage: „Was geschieht bei einer Änderung der Reihenfolge der zugegebenen Komponenten?“ wurde nicht einmal erwähnt. Im Gegensatz dazu wiesen Powner et al. in ihrer Arbeit über eine vergleichbare Synthese der Pyrimidinnukleotide fairerweise auf diese Problematik hin.
Übertriebene oder gar inhaltlich
falsche Aussagen schaden der Glaubwürdigkeit von Veröffentlichungen.
Auch wenn der Arbeit von Becker et al. eine durchaus originelle Idee zugrunde liegt, ist die Bezeichnung des realisierten Synthesewegs als „präbiotisch“ in keiner Weise angebracht. Wenn es schon sehr unwahrscheinlich ist, dass auch nur einer der Parameter unter präbiotischen Bedingungen den experimentellen Bedingungen entsprechend eingestellt wird, dann ist das zeitgleiche Zustandekommen von mehreren genau eingestellten Parametern faktisch unmöglich. Bei einer der durchgeführten Nukleosidsynthesen, die im experimentellen Teil der Arbeit dokumentiert wurde, sind ganze neun steuernde Eingriffe notwendig, damit die Synthese gelingt. Der unkritische Umgang mit den erhaltenen experimentellen Daten und der gewählten Vorgehensweise ist überraschend. Noch mehr jedoch verwundert der Schlusssatz der diskutierten Publikation: „Das Ausgangsmaterial (für die Nukleosidsynthese) stellen kleine Moleküle wie HCN (Blausäure), NH3 (Ammoniak) und besonders Ameisensäure-Derivate dar, die allesamt auf Kometen wie 67P/Churyumov-Gerasimenko nachgewiesen wurden.“ Dabei war Blausäure keinesfalls das Ausgangsmaterial in der experimentellen Arbeit von Becker et al. Es wurde lediglich in anderen wissenschaftlichen Artikeln als mehrere Schritte entfernte Vorstufe der FaPys beschrieben. Damit ist der letzte Satz der Publikation irreführend, da der besagte Vorgang entgegen der Aussage des Textes nur hypothetischer Natur ist. Dass dieser Sachverhalt selbst im Rahmen des Peer-Review-Verfahrens einer hochkarätigen wissenschaftlichen Zeitschrift wie Science nicht korrigiert wird, ist mehr als erstaunlich.
Es ist im Sinne naturwissenschaftlicher Seriosität unverzichtbar, dass bei der Begutachtung kritische Fragen wie die hier angeführten, die bereits seit vielen Jahren angemahnt werden, gestellt und reflektiert werden. Dies gilt insbesondere für Themen, die vonseiten der Leserschaft ein hohes Maß an Aufmerksamkeit erfahren. Übertriebene oder gar inhaltlich falsche Aussagen wie im Schlusssatz des diskutierten Artikels schaden dagegen der Glaubwürdigkeit von Publikationen zu wissenschaftlichen Themen.
Glossar

Nukleoside: Moleküle, die aus einer Nukleobase (Purine oder Pyrimidine) und einer Zuckereinheit (gewöhnlich (Desoxy-)Ribose) zusammengesetzt sind.
Nukleotide: Phosphatierte (oder phosphorylierte) Nukleoside, d. h. Nukleoside, an die eine Phosphateinheit angeknüpft ist (an eine der Hydroxylgruppen in 2‘-, 3‘- oder 5‘- Position). Nukleotide sind die Bausteine der DNA und RNA; viele Nukleotide sind an regulatorischen Funktionen in den Zellen beteiligt.
präbiotisch: vor der Existenz der ersten Lebewesen.
1 „The demonstration that purine nucleosides are formed from purines and ribose in the presence of inorganic polyphosphates thus completes a prebiotic synthesis of purine nucleosides.“
A high-yielding, strictly regioselective prebiotic purine nucleoside formation pathway. Science 352, 833-836.
Neue Synthese für Nukleinsäure-Bausteine – ein plausibler Weg zu ersten Nukleinsäuren? Stud. Int. J. 16, 111-113.
Studies in Prebiotic Synthesis VI. Synthesis of purine nucleosides. J. Mol. Biol. 67, 25-33.
The RNA world: molecular cooperation at the origins of life. Nature Reviews 16, 7-17.
Synthesis of activated pyrimidine ribonucleotides in prebiotically plausible conditions. Nature 459, 239-242.