Tetrapyrrole – Biokatalysatoren der ersten Stunde?
von Boris Schmidtgall
Studium Integrale Journal
21. Jahrgang / Heft 2 - Oktober 2014
Seite 104 - 107
Zusammenfassung: Modelle zur Lebensentstehung müssen u. a. die Frage nach der Herkunft der Enzyme plausibel beantworten. Proteine, die durch ihre Struktur in der Lage sind, biochemische Reaktionen zu katalysieren, müssen früher oder später zur Verfügung stehen. Moderne Labormethoden ermöglichen Synthesen von Protein-Bibliotheken mit einer unüberschaubaren Vielfalt an Proteinen, die sich in ihrer Sequenz unterscheiden. Welche Hinweise liefern die bisherigen Erkenntnisse für eine mögliche Entstehung erster funktionsfähiger Proteine?
Relevanz von Tetrapyrrol-Makrozyklen

Abb. 1: In Organismen häufig vorkommende Tetrapyrrol-Makrozyklen und der Metallion-Komplex M1.
Aufgrund ihres häufigen Vorkommens in unterschiedlichen biochemischen Funktionseinheiten, ihrer auffälligen Geometrie und der faszinierenden chemischen und physikalischen Eigenschaften sind Tetrapyrrole seit langem Gegenstand intensiver Untersuchungen. Zu den bekanntesten Beispielen gehören die Aufklärung der Struktur des grünen Blattfarbstoffs Chlorophyll (Willstätter & Fischer 1913) und des „roten Blutfarbstoffs“ Hämoglobin (Fischer & Zeile 1929). Bei Tetrapyrrolen handelt es sich um flache (planare), ringförmige Moleküle, die aus vier gleichen Untereinheiten zusammengesetzt sind. Zu den in der Natur am häufigsten vorkommenden Makrozyklen dieses Typs zählen Porphin 1, Chlorin 2 und Corrin 3 (Abb. 1).
Das Tetrapyrrolgerüst kommt als zentraler Bestandteil in biologisch relevanten Stoffen wie dem „grünen Blattfarbstoff“ Chlorophyll oder dem „roten Blutfarbstoff“ Hämoglobin vor.
Aufgrund ihrer Stabilität kommen diese Verbindungen in größerer Menge in Sedimenten, Kohle und Erdöl vor (Schaeffer et al. 1993). Ihre ringförmige Struktur ermöglicht das Binden bestimmter Metallionen (Abb. 1), die einen Radius von 60-70 pm aufweisen (z. B. Mg2+ im Chlorophyll oder Co2+ im Vitamin B12). Größere Metallionen wie Pb2+ (Blei) passen nicht ins Zentrum der zyklischen Verbindungen, während zu kleine Ionen wie Be2+ (Beryllium) oder Al3+ (Aluminium) nicht fest gebunden werden. Verbindungen aus Tetrapyrrolen und Metallionen werden als „Komplexe“ bezeichnet und spielen bei zahlreichen physiologischen Vorgängen in Organismen eine zentrale Rolle. Für die Photosynthese ist das Chlorophyll (Mg2+-Porphyrin-Komplex) als Bestandteil des Lichtsammelkomplexes unverzichtbar. Der Sauerstoff-Transport im Blut vieler Lebewesen erfolgt durch das Hämoglobin, ein Enzym, in dessen Zentrum ein Fe2+-Porphyrin-Komplex als Bindestelle für molekularen Sauerstoff fungiert. Weitere wichtige Funktionen von Metall-Tetrapyrrol-Komplexen sind die Beteiligung an Entgiftungsprozessen in der Leber (Monooxygenasen) und der Elektronentransport in der Atmungskette (Q-Cytochrom-c-Oxidoreduktase und Cytochrom-c-Oxidase).
Das Vorkommen porphinoider Ni2+-Komplexe bei Archaebakterien gilt als Indiz dafür, dass diese Verbindungen bereits in einem frühen Stadium der angenommenen schrittweisen Lebensentstehung eine wichtige Rolle gespielt haben könnten (Eschenmoser 1988). Der Weg zur Entstehung von Tetrapyrrolen galt jedoch lange Zeit als ungeklärt. In den vergangenen Jahren hat die Forschungsgruppe um Lindsey Hypothesen für die präbiotische Entstehung dieser Verbindungen auf der Basis von experimentellen Untersuchungen etabliert (Lindsey et al. 2009, Lindsey et al. 2011).
Analyse der Plausibilität des Modells zur Biogenese von Tetrapyrrol-Makrozyklen

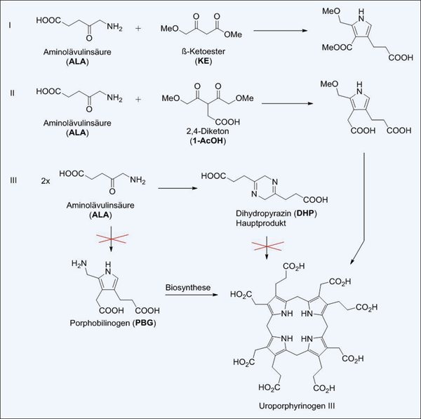
Abb. 2: Von Lindsey untersuchte Reaktionen zur Bildung von PBG und dessen struktureller Analoga.
Schon die gezielte Laborsynthese von Porphin 1 (Abb. 1) stellte bis vor kurzem noch eine beträchtliche Herausforderung dar. Im Jahr 1959 wurde eine Porphin-Synthese mit einer Ausbeute von mageren 5% in einer Publikation des Journal of Organic Chemistry beschrieben (Krol 1959). Vermutlich galten deshalb experimentelle Arbeiten zu Hypothesen über die präbiotische Entstehung dieser Verbindungen lange als wenig attraktiv. Erst im Jahr 2007 gelang es der Arbeitsgruppe um Lindsey, den Magnesium-Komplex Mg-1 des Porphins in einer Ausbeute von 30% herzustellen (Lindsey 2007). Allerdings handelte es sich dabei um eine reine Laborsynthese, die für eine Diskussion potentieller präbiotischer Vorgänge ungeeignet ist. Der erste Versuch, eine Entstehung von Tetrapyrrol-Verbindungen unter als präbiotisch bezeichneten Bedingungen zu simulieren, wurde von Mauzerall durchgeführt (Mauzerall 1960). Bei diesen Versuchen wurde jedoch eine organische Verbindung (Porphobilinogen PBG) eingesetzt, deren abiogenetische Entstehung nicht als gegeben betrachtet werden kann. Zudem wurde nur eine Vorstufe (Uroporphyrinogen III, Abb. 3) der physiologisch relevanten Makrozyklen Porphin 1, Chlorin 2 und Corrin 3 erhalten. In einer Reihe von aktuellen Publikationen beschrieb die Gruppe um Lindsey nun Ergebnisse ihrer experimentellen Arbeiten, die eine mögliche Lösung für das zuerst genannte Problem der früheren Arbeiten (Entstehung von PBG) darstellen sollen.
Als Rahmenbedingungen für die Simulationen wurden eine anaerobe Atmosphäre, die Abwesenheit von Enzymen und das Vorhandensein höherer Konzentrationen an Aminolävulinsäure (ALA) und eines β-Ketoesters (KE) (Reaktion I, Abb. 2) oder eines 2,4-Diketons (1-AcOH) (Reaktion II, Abb. 2) in einer wässrigen Lösung angenommen. ALA wurde als Ausgangsverbindung in den Experimenten gewählt, da dieses Molekül auch in der Biosynthese (in lebenden Zellen) stets der Ausgangspunkt für die Bildung von Tetrapyrrol-Makrozyklen ist (Marks 1966). Auf diese Weise sollte demonstriert werden, dass heutige physiologische Vorgänge ihren Ursprung in chemischen Reaktionsabläufen ohne Beteiligung von Enzymen haben. Allerdings sind weder KE noch 1-AcOH in der Biosynthese von Porphyrinen involviert. Diese Verbindungen wurden bei den Simulationsexperimenten eingesetzt, da die Kondensation von ALA mit sich selbst ohne Steuerung durch Enzyme hauptsächlich zum Dihydropyrazin (DHP) führt und nicht zum PBG (Reaktion III, Abb. 2).

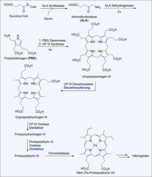
Abb. 3: Biosynthese des Häm-Systems als Beispiel für die biologische Entstehung von Porphyrinen.
Die Reaktionsbedingungen wurden hinsichtlich der Parameter Temperatur (70-100 °C bzw. 28-85 °C), pH-Wert (5-7) und Konzentration der Reaktionspartner (2-40 mM bzw. 5-240 mM) variiert, um zu belegen, dass diese Reaktionen keiner allzu spezifischen Bedingungen bedürfen (robuste Reaktion). Bei den durchgeführten Reaktionen konnte in einer maximalen Ausbeute von 10 % der Makrozyklus Uroporphyrinogen III (Abb. 2) als Gemisch mit einigen Nebenprodukten erhalten werden. In diesen Versuchen wurde folglich die spontane Organisation von acht einfachen, azyklischen Molekülen zu einer relativ komplexen Verbindung (Tetrapyrrol) nachgewiesen. Nach Ansicht der Autoren eignen sich diese Befunde als Indiz für die Plausibilität der spontanen Selbstorganisation von Katalysatoren, metabolischen Zyklen und Vorläufern von Photosynthese-Systemen.
Gemäß Lindsey handelt es sich bei der untersuchten Reaktion um ein beeindruckendes Beispiel der Selbstorganisation von acht azyklischen Molekülen (4 x ALA + 4 x KE oder 4 x ALA + 4 x 1-AcOH) zu einem Tetrapyrrolgerüst (Lindsey 2011). Allerdings deutet die Ausbeute von maximal 10 % an, dass die Reaktion nicht der hauptsächlich ablaufende Prozess ist. Die tatsächliche Hauptreaktion ist die Polymerisation. Zudem ist mit diesen Befunden keinesfalls der Nachweis für die Abiogenese von Tetrapyrrolen erbracht, die in den bereits erwähnten biologischen Funktionseinheiten vorkommen. Bei allen beschriebenen Experimenten wurde kein Protoporphyrin IX (Abb. 2) erhalten, sondern nur die metabolische Vorstufe Uroporphyrinogen III (Abb. 3). Für die Weiterreaktion zum Protoporphyrin IX (unmittelbare Vorstufe vom Häm bzw, Chlorophyll) wären noch einige weitere Schritte notwendig, darunter vier regioselektive Decarboxylierungen und zwei Oxidationsschritte (Abb. 3).
Diese Reaktionen verlaufen in Zellen in unterschiedlichen Kompartimenten und unter Beteiligung von Enzymen. Besonders die Katalyse der Decarboxylierungen durch das Enzym Uroporphyrinogen III-Decarboxylase erweist sich als spektakulär, denn die Beschleunigung der Reaktionsgeschwindigkeit beträgt 6x1024 M-1. Es handelt sich dabei um die effizienteste Reaktionsbeschleunigung durch ein Enzym, die bisher bekannt geworden ist (Lewis 2008). Das bedeutet aber auch im Umkehrschluss, dass die entsprechende unkatalysierte Reaktion extrem langsam ist. Folglich ist dieser Vorgang auf die Katalyse angewiesen. Dazu passt auch der Befund (With 1975), dass die unkatalysierte Decarboxylierung nur unter sehr harschen Bedingungen abläuft (200 °C, 5 min). Auch die darauf folgenden Oxidationen von Coproporphyrinogen III und Protoporphyrin IX sind unter den von Lindsey gewählten Bedingungen problematisch, da in Gegenwart oxidierender Reagenzien die Ausgangsverbindung ALA nicht beständig wäre. Überhaupt ist die chemische Verbindung ALA nur bei niedrigem pH-Wert (2.3) und unter anoxischen Bedingungen wenige Monate haltbar. Auch Lindsey und Mitarbeiter berichteten, dass diese Verbindung bei einer Temperatur von -15 °C aufbewahrt werden musste (Lindsey 2009). Diese Eigenschaft zeichnet sie als hochgradig ungeeignet für eine längere Verweildauer in einer präbiotischen Welt aus. Zumindest kann ALA nicht in einer von Lindsey vorausgesetzten „warmen Welt“ als Ausgangsverbindung angenommen werden.
Völlig unklar ist, wie porphinoide Verbindungen sich mit anderen Makromolekülen zu den eigentlich wirksamen biologischen Strukturen verknüpft haben könnten.
Das entscheidende Problem ist jedoch die nicht einmal im Ansatz behandelte Fragestellung, wie porphinoide Verbindungen sich mit anderen Makromolekülen zu den eigentlich wirksamen biologischen Strukturen (Photosysteme, Hämoglobin, Porphyrin-haltige Enzyme) verknüpft haben könnten. Enzyme, die z. B. Häm-Einheiten enthalten, sind auf die Proteinhülle angewiesen, da anderenfalls die Spezifität der Reaktionen nicht gegeben wäre. Im Zusammenhang mit der Stoffwechsel-zuerst-Hypothese bezeichnete Orgel das Fehlen der Spezifität einfacher Vorgänger von späteren komplexeren Enzymen als das ungelöste Kernproblem (Orgel 2008): „Die größte Herausforderung für Verfechter von Metabolismus-zuerst-Hypothesen – die durch das Fehlen der Spezifität nichtenzymatischer Katalysatoren verursachten Probleme – sind generell nicht berücksichtigt worden.“1 Verknüpfende Reaktionen mit porphinoiden Verbindungen dürften allerdings ohne geeignete Katalysatoren äußerst schwer zu realisieren sein, da Porphyrine aufgrund ihrer hohen thermodynamischen Stabilität ausgesprochen reaktionsträge sind. Sie stellen folglich eher eine Sackgasse auf dem Weg zu komplexen biologischen Strukturen dar als eine realistische Zwischenstufe.
Die Bildung porphinoider Verbindungen bedarf einer spezifischen Katalyse
Zusammenfassend gesagt kann auf der Grundlage bisheriger Experimente kein schlüssiges Modell für die Entstehung porphinoider Verbindungen formuliert werden. Trotz ihrer thermodynamischen Stabilität bedarf es einer gezielten Steuerung der chemischen Reaktionen durch komplexe und spezialisierte Enzyme, damit aus einfachen Vorläufern wie ALA die Tetrapyrrole 1-3 gebildet werden können.
Glossar
Abiogenese: Hypothetische erstmalige natürliche Entstehung von Leben durch bloße physikalisch-chemische Prozesse, ohne Voraussetzung von schon vorhandenem Leben.
1 „The most serious challenge to proponents of metabolic cycle theories – the problems presented by the lack of specifity of most nonenzymatic catalysts – has, in general, not been appreciated.“
Vitamin B12: Experimente zur Frage nach dem Ursprung seiner molekularen Struktur. Angew. Chem. 100, 5-40.
Synthese des Hämatoporphyrins, Protoporphyrins und Haemins. Justus Liebiegs Ann. Chem. 468, 98-116.
A new synthesis of porphyrin. J. Org. Chem. 24, 2065–2067.
Uroporphyrinogen decarboxylation as a benchmark for the catalytic proficiency of enzymes. Proc. Natl. Acad. Sci. 105, 17328–17333.
Direct synthesis of magnesium porphine via 1-formyldipyrromethane. J. Org. Chem. 72, 5008-5011.
Simple formation of an abiotic porphyrinogen in aqueous solution. Orig. Life Evol. Biosph. 39, 495-515.
Abiotic formation of uroporphyrinogen and coproporphyrinogen from acyclic reactants. New J. Chem. 35, 65-75.
The biosynthesis of heme and chlorophyll. Bot. Rev. 32, 56-94.
The condensation of porphobilinogen to uroporphyrinogen. J. Am. Chem. Soc. 82, 2605-2609.
The implausibility of metabolic cycles on the prebiotic earth. PLoS Biology 6, e18.
Extraction of bound porphyrins from sulfur-rich sediments and their use for reconstruction of palaeoenvironments. Nature 364, 133.
Untersuchungen über Chlorophyll XXIII. Die Stammsubstanzen der Phylline und Porphyrine. Justus Liebigs Ann. Chem. 400, 182-194.
Decarboxylation of uroporphyrin by heating at atmospheric pressure. Biochem J. 147, 249-251.