Clostridium cellulolyticum kann viel mehr!
Clostridien, Bakterien der Familie Clostridiaceae, sind berühmt wegen ihrer vielfältigen biochemischen Fähigkeiten, die in der Biotechnologie bereits zahlreiche Anwendungen finden. Darüber hinaus sind einige Vertreter aber auch berüchtigt z. B. als Produzenten hochwirksamer Neurotoxine (Nervengifte) wie Botulinum (C. botulinum) oder Tetanustoxin (C. tetani). Typischerweise leben sie obligat anaerob (d. h. existieren unter strikter Abwesenheit von Sauerstoff) in verschiedenen Lebensräumen, wie z. B. im Magen-Darm-Trakt oder im Ackerboden.
Von einer Reihe von Vertretern von Clostridien wurden Genomsequenzierungen vorgenommen (z. B. C. kluyveri, C. cellulolyticum). Bisher wurden von Clostridien keine sekundären Stoffwechselprodukte (Sekundärmetaboliten) beschrieben, also chemische Stoffe, die nicht direkt mit dem Energiestoffwechsel, dem Abbau von Nährstoffen (Katabolismus) oder Aufbau von zelleigenen Substanzen (Anabolismus) in Verbindung stehen. Bioinformatische Analysen („datamining“) der verfügbaren Genome liefern allerdings Hinweise auf die enzymatische Ausstattung von Clostridien, die Biosynthesen von Sekundärmetaboliten ermöglichen würde.

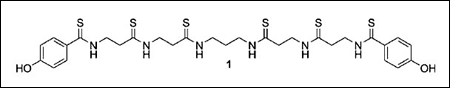
Abb. 1: Closthioamid – aufgrund von Untersuchungen mit verschiedenen spektrokopischer Methoden wurde diese Struktur ermittelt.
Hertweck und seine Mitarbeiter ließen sich nun von der Idee leiten, dass die potentiellen Möglichkeiten von Clostridien unter Laborbedingungen gar nicht abgerufen werden, dass zu deren Aktivierung vielmehr bestimmte Reize vorhanden sein müssen. Jetzt beschreiben Lincke et al. (2010) das erste sekundäre Stoffwechselprodukt von Clostridien, ein Antibiotikum mit überraschender Struktur. Die Autoren wählten als Untersuchungsobjekt C. cellulolyticum, einen Clostridien-Stamm, der bereits gut untersucht ist und aufgrund seiner Fähigkeit, kristalline Zellulose zu hydrolysieren, biotechnologisch angewendet wird. Bei ersten Versuchen, durch Zugabe von verschiedenen Chemikalien oder Anwendung von Stressfaktoren konnten sie keine Sekundärmetaboliten nachweisen. Erst nach Zugabe von wässrigen Extrakten aus kompostiertem Gras fanden sich in den Chromatogrammen (RP-HPLC) auffallende unbekannte Signale, die auch durch andere Kompostzugaben initiiert werden konnten. Kontrollexperimente zeigten, dass die neuen Stoffe nicht durch die Kompostzugaben eingeschleppt worden waren, sondern dass deren Biosynthese durch die Zusätze angeregt worden war. Durch eine Vielzahl spektroskopischer Untersuchungen konnte für Closthioamid (1) die in Abb. 1 wiedergegebene (symmetrische Thiamid-) Struktur gesichert und nachgewiesen werden.
In Standard-Tests für Antibiotika stellte sich überraschenderweise die bisher unbekannte Verbindung als hochwirksames Antibiotikum heraus (minimale inhibitorische Konzentration: 0,4 µg mL–1).
Dieser Befund zeigt, dass Mikroorganismen – auch solche, die ausführlich beschrieben und gut bekannt sind – sehr viel mehr verborgene Fähigkeiten besitzen könnten, also sehr viel reichhaltiger ausgestattet sind, als aufgrund bisheriger Erfahrungen zu vermuten war. In diesem Fall wurde einer neuen Idee Raum gegeben und in Studien verfolgt, mit ganz überraschendem Resultat. Diese Erfahrung sollte Mut machen neue, auch unorthodoxe Fragen zu stellen und ihnen nachzugehen. Hier könnten sonst Restriktionen sehr schnell Erkenntnisse verhindern.
Spannend ist in dem hier vorgestellten Beispiel auch der Aspekt, dass Mikroorganismen eine sehr viel reichhaltigere Ausstattung pflegen, als sie für ihr Überleben – zumindest in den Laborkulturen – benötigen. Könnte es sein, dass hier eine Tür zu ganz neuen Überraschungen entdeckt worden ist?
H. Binder
[Lincke T, Behnken S, Ishida K, Rot M & Hertweck C (2010) Clostioamide: An unprecedented polythioamide antibiotic from the strictly anaerobic bacterium Clostridium cellulolyticum. Angew. Chem. 122, 2055-2057; Angew. Chem. Int. Ed. 49, 2011-2013.]