Neue Synthese für Nukleinsäure-Bausteine –
ein plausibler Weg zu ersten Nukleinsäuren?
von Harald Binder
Studium Integrale Journal
16. Jahrgang / Heft 2 - November 2009
Seite 111 - 113
Zusammenfassung: Englische Chemiker haben eine neue Idee vorgestellt, wie erste Bausteine von Nukleinsäuren präbiotisch, d.h. ohne die heute bekannte Bio-Chemie entstanden sein könnten. Ihre Versuche, Nukleotide zu synthetisieren folgen neuen Konzepten und zeigen interessante Reaktionsverläufe. Aber bei allen überraschend günstigen Syntheseschritten bleibt das Problem, dass für die chemischen Reaktionen reine Ausgangsstoffe verwendet werden und Randbedingungen, wie pH-Wert, Temperaturen und Reaktionszeit geregelt werden müssen. Damit müssen bei allem Optimismus, den diese Veröffentlichungen hervorgerufen haben, einige grundlegende Probleme für eine plausible Erklärung für die Entstehung erster Nukleinsäuren noch gelöst werden.

Abb. 1: Aufbau der DNS. Oben die Doppelhelix mit den vier DNA-Grundbausteinen (Basen) Adenin (A), Guanin (G), Cytoson (C) und Thymin (T); unten genauere Darstellung der Basen. Z = Zucker Desoxyribose, P Phosphatrest. Je zwei Basen passen genau zueinander und sind daher „komplementär“. Ein Triplett steht für eine Aminosäure.
Nukleinsäuren in Form von DNA und RNA sowie deren Bausteine sind in allen bekannten Lebensformen von grundlegender Bedeutung, z. B. zur Repräsentation, Speicherung und Vermittlung der Erbinformation. Unabhängig von den jeweiligen Vorstellungen zur Lebensentstehung müssen diese chemischen Verbindungen irgendwann entstanden sein. Die Annahme, dass dies durch zufällige und ungesteuerte Synthesen geschieht, führt zur Erwartung von chemischen Reaktionen, die die benötigten Produkte und deren Vorstufen mit hoher Ausbeute, d.h. ohne störende Nebenprodukte liefern. Unter präbiotischen Bedingungen (d. h. bevor es Leben gab) können dabei keine spezifischen Reaktionsbedingungen vorausgesetzt werden.
Die präbiotische Synthese von Nukleinsäuren stellt unter diesem Gesichtspunkt insofern eine enorme Herausforderung dar, als bisher in experimentellen Studien keine plausiblen Lösungen aufgezeigt werden konnten.
In vielen Konzepten wurde versucht, Nukleotide – die Einzelbausteine der Nukleinsäuren aus ihren Bestandteilen, der Ribose (für RNA) bzw. Desoxyribose (für DNA), den Stickstoffheterocyclen und Phosphat zusammenzufügen (Abb. 1). Bisher liegen sowohl für die Synthesen der Komponenten als auch für die Nukleotide ergiebige Synthesen nur unter sehr spezifischen Laborbedingungen vor, die nicht mit Erwartungen im Zusammenhang der präbiotischen Chemie vereinbar sind. Aus diesem Grund werden auch strukturell weniger komplexe Alternativen zu Nukleinsäuren studiert, die als einfachere Vorläufer vorstellbar wären.
Nun hat eine Arbeitsgruppe unter der Leitung von John D. Sutherland der Universität Manchester (UK) eine Synthese von Pyrimidin-Nukleotiden vorgestellt. Die Publikation dokumentiert die jüngste Etappe einer umfangreicheren Studie zur Entstehung erster Nukleinsäuren (Anastasi et al. 2007). Sutherland und seine Mitarbeiter beginnen ihre Synthesen mit Substanzen, die von vielen Autoren als plausible Ausgangsstoffe für präbiotische Synthesen betrachtet werden.1 Aus diesen Stoffen hat er in nachfolgenden Arbeiten Vorstufen von Nukleosiden (N-Heterocyclus + Ribose) hergestellt (Anastasi et al. 2006).
In einer weiteren Veröffentlichung stellt die Arbeitsgruppe nun eine Synthese von Pyrimidin-Nukleotiden aus Cyanamid, Glycol- und Glycerinaldehyd, Cyanoacetylen und anorganischem Phosphat vor (Powner et al. 2009; siehe Kasten). In dieser experimentellen Studie wurden Pyrimidin-Nukleotide aus erstaunlich vielen Ausgangsstoffen und mit einer auffallend hohen Ausbeute synthetisiert. Insofern ist die Publikation von Powner et al. (2009) ein lang ersehnter Hoffnungsschimmer. Hinsichtlich der Plausibilität dieser Synthese als präbiotisches Szenario für die Herstellung von Nukleinsäuren im Zusammenhang mit der RNA-Welt-Hypothese müssen jedoch folgende Fragen reflektiert werden:
Wie gelangen die Ausgangsstoffe in geeigneter Konzentration und Reinheit an den Reaktionsort? Wie verändern sich die Ausbeuten, wenn neben den benötigten Ausgangsstoffen noch andere Chemikalien im Reaktionsgemisch vorliegen? Wie wird in einer ungesteuerten – präbiotischen – Reaktion der pH-Wert eingestellt, der für einige Synthesestufen entscheidend wichtig ist?
In einem einführenden Beitrag zum Artikel von Powner et al. bemerkt Szostak (2009): „Die Experimente, über die Powner et al. berichten, liefern neue Einsichten in chemische Abläufe, die dazu geführt haben könnten, dass Information codierende Nukleinsäuren auf der frühen Erde erscheinen.“2 Damit bringt er beides zum Ausdruck: die nüchterne Beurteilung der Experimente im Zusammenhang mit Lebensentstehungsszenarien und die Hoffnung, dass neue Ansätze endlich erfolgreiche Wege weisen könnten. Aber selbst wenn sich diese Synthese zur Herstellung von Nukleotiden bewähren sollte, ist damit die Frage der codierten Information in den Nukleinsäuren noch nicht einmal berührt.
Eine ganze Reihe von „geeigneten Bedin-gungen“ muss vorliegen. Unter präbio-tischen Bedingungen kann aber nicht mit „Voreinstellungen“ gerechnet werden
.
Powner et al. (2009) gebrauchen gegen Ende ihres Artikels eine interessante Formulierung3 (unter Hinweis auf einen Gedanken, den Eschenmoser & Loewenthal (1992) geäußert haben): „Unsere Ergebnisse legen den Schluss nahe, dass die präbiotische Synthese von aktivierten Pyrimidin-Nukleotiden als prädisponiert betrachtet werden sollte. Diese Voreinstellung hätte der Synthese ermöglicht, auf der frühen Erde die Abfolge der Aufbaureaktionen durchzuführen – unter geeigneten geochemischen Bedingungen.“ Diese Bemerkung bringt einerseits zum Ausdruck, dass die von Sutherland und seinen Mitarbeitern untersuchten und beschriebenen Reaktionen den Untersuchungen zur präbiotischen Chemie einen neuen fruchtbaren Impuls verleihen könnten. Andererseits muss aber festgehalten werden, dass eine ganze Reihe von „geeigneten Bedingungen“ vorliegen muss, was die Plausibilität dieses Synthesevorschlags bereits wieder deutlich reduziert, da unter präbiotischen Bedingungen nicht mit „Voreinstellungen“ gerechnet werden kann. Aber vielleicht öffnen diese Arbeiten ja Türen zu ganz neuen Ideen und Fragestellungen.

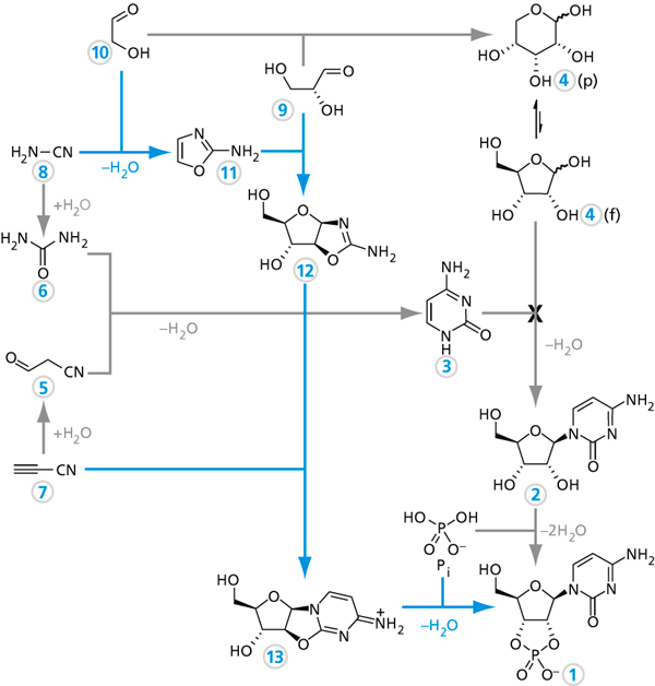
Abb. 2: Schema zur Synthese von Pyrimidin-Nukleotiden: Bisherige Synthesestrategien folgen typischerweise den grauen Reaktionspfeilen um b-Ribocytidin-2’,3’-Cyclophosphat zu erhalten (wie im Schema angedeutet gelingt die Kondensation von Cytosin 3 und Ribose 4 experimentell nicht). Mit blauen Reaktionspfeilen ist die von Powner et al. entwickelte Synthese dargestellt. (Nach Powner et al. (2009)
Bei der Synthese von Powner et al. wird als Hauptprodukt Cytidin als 2’,3’-Cyclophosphat erhalten und zwar ohne dass während der einzelnen Syntheseschritte Ribose oder Pyrimidin-Stickstoffheterocyclen entstehen würden (s. Abb. 2; blaue Reaktionsabfolge). Zunächst wurde nach einer plausiblen präbiotischen Synthese für das 2-Amino-Oxazol (11 in Abb. 2) gesucht. Diese Substanz war in vorherigen Untersuchungen (Anastasi et al. 2006) als aussichtsreiche Zwischenverbindung erkannt worden. Bei der Reaktion von Cyanamid (8) und Glycolaldehyd (10) in Phosphatpuffer (1M, pH 7,0) konnten die Autoren die Verbindung (11) in 75 % Ausbeute isolieren. Nach Vorversuchen konnten Powner et al. im nächsten Reaktionsschritt das Amino-Oxazolin (12) als Hauptprodukt erhalten, wenn sie (11) als Rohprodukt (d.h. nach der vorgenannten Reaktion ohne nachfolgende Reinigungsschritte) in Gegenwart von Phosphat mit Glycerinaldehyd (9) reagieren ließen. Die Verbindung (12) wird allerdings erst nach selektiver Kristallisation eines weiteren Produkts (eines Diastereomeren Ribose-Amino-Oxazolins) Hauptprodukt in der verbleibenden Lösung. Jetzt muss in einem nächsten Schritt der bereits angelegte N-Heterocyclus komplettiert werden. Dies erreichten die Autoren durch eine Anlagerung von Cyanoacetylen (7) an (12). Systematische Untersuchungen zeigten, dass bei dieser Reaktion die Kontrolle des pH-Wertes von großer Bedeutung ist. In Phosphatpuffer bei pH 6,5 konnte das Arabinose-Anhydronukleosid (13) mit 92 % Ausbeute isoliert werden. Dieses kann jetzt in das Zielmolekül, Cytidin (1) umgelagert werden und zwar durch Phosporylierung. Bei trockener (ohne Lösungsmittel) Reaktion (13) mit Pyrophosphat in Harnstoff (6) erhält man (1) mit 32% Ausbeute. Erhitzt man alternativ (13) mit Phosphat und Harnstoff in Formamid, erhält man (1) mit 46%. Um Cytidin-2´,3´cyclophosphat von den Nebenprodukten abzutrennen zeigte sich die Bestrahlung des Rohprodukts als sehr effektiv. Nach intensiver Bestrahlung mit UV-Licht (254 nm) in Phosphatpuffer bei pH 6,5 werden die anderen Produkte (Pyrimidin-Nukleoside und Nukleotide) zerstört und man erhält Cytidin 2´,3´cyclophosphat und Uridin-2´,3´-cyclophosphat in 43 % bzw. 42 % Ausbeute.
1 Ohne dass dies im Einzelnen konkret nachgewiesen wäre; so ist der spektroskopische Nachweis eines Moleküls im Kosmos wenig aussagekräftig bezüglich dessen Verfügbarkeit (Konzentration, Reinheit usw.) für präbiotische Synthesen.
2 „Experiments reported by Powner et al. provide fresh insight into chemical processes that might have led to the emergence of information-coding nucleic acids on early earth.“
3 „Our findings suggest that the prebiotic synthesis of activated pyrimidin nucleotides should be viewed as predisposed. This predisposition would have allowed the synthesis to operate on the early earth under geochemical conditions suitable for the assembly sequence.“
Direct assembly of nucleoside precursors from two- and three-carbon units. Angew. Chem. 118, 6322-6325; Angew. Chem. Int. Ed. 45, 6176-6179.
RNA: prebiotic product, or biotic invention? Chem. & Biodiv. 4, 721-739.
Chemistry of the potentially prebiological natural products. Chem. Soc. Rev. 21, 1-16.
Synthesis of activated pyrimidine ribonucleotides in prebiotically plausible conditions. Nature 459, 239-242.
Systems chemistry on early earth. Nature 459, 171-172.
Letzte Änderung: 05.12.2009 •