Trilobiten: Radiation von Grundtypen?
von Wolfgang B. Lindemann
Studium Integrale Journal
15. Jahrgang / Heft 1 - April 2008
Seite 35 - 37
Zusammenfassung: Trilobiten („Dreilappkrebse“) erscheinen plötzlich im Kambrium im Fossilbefund. Eine Analyse von 982 Trilobitenarten aus allen 9 Ordnungen zeigte, dass die innerartliche Variabilität bei den älteren Formen größer ist als bei den jüngeren. Dies passt gut zur Vorstellung der Grundtypenbiologie, dass sich wenige Trilobiten-Grundtypen mit einem großen genetischen Potential unter rascher adaptiver Radiation und Genverlust an die vielen vorhandenen ökologischen Nischen auf der frühen Erde anpassten.

Abb. 1: Trilobit. Phacops africanus mit trilobiten-typischer Dreiteilung in Cephalon (Kopfschild), Thorax (Brustschild; bestehend aus Einzelsegmenten) sowie Pygidium (Schwanzschild). (Alnif, Marokko; Sammlung R. Wiskin)
Die meeresbewohnenden Trilobiten waren eine Klasse der Gliederfüßer (Arthropoden) mit 9 Ordnungen. Sie erscheinen plötzlich fossil im Kambrium vor 545 Millionen Jahren und finden sich bis ins Perm vor 250 Millionen Jahren (nach konventioneller Zeitrechnung). Trilobiten hatten einen abgeflachten Körper, der aus dem Kopfschild, dem Cephalon, einem gelenkigen Körperbereich, dem Thorax mit den bauchseitigen Beinen sowie einem Schwanzschild, dem Pygidium bestand. Form und Größe des Cephalons, die Anzahl der Segmente des Thorax sowie die Form Pygidiums variieren von Art zu Art. In der Längsachse weisen Trilobiten einen jeweils durch Furchen begrenzten Mittelteil (Spindel oder Raphis) und zwei Seitenlappen (Pleural-Lobi) auf, daher die frühere Bezeichnung „Dreilappkrebse“. Trilobiten sind in großer Anzahl und Formenfülle fossil überliefert und viele Arten dienen als Leitfossilien bestimmter geologischer Schichtfolgen, vor allem im Kambrium.
Schon lange ist bekannt, dass Trilobiten zu Beginn ihres fossilen Auftretens morphologisch verschiedener waren als später. Die größte Variabilität der Anzahl der Thorakalsegmente bestand im Kambrium (Hunt 2007). Webster (2007) untersuchte nun systematisch das Ausmaß der innerartlichen Variabilität bei 982 Trilobitenarten (etwa 5% aller beschriebenen Trilobitenarten) aus allen Trilobitenordnungen, die in 49 Fachpublikationen beschrieben sind (die Liste ist im Online-support einsehbar). Aus jeder Ordnung wurden mehr als 100 Arten in die Untersuchung aufgenommen, mit Ausnahme der Redlichiida (79 Arten), der Corynexochida (50 Arten) und der Asaphida (26 Arten). Eine Art wird im Rahmen kladistischer Verfahren durch eine bestimmte Anzahl von Merkmalen sowie die jeweils möglichen Ausprägungen dieser Merkmale beschrieben. Ein Merkmal ist beispielsweise die Zahl der Thorakalsegmente oder der Beine. Eine Art ist hinsichtlich eines Merkmales polymorph, wenn dieses Merkmal innerhalb einer Art in verschiedenen Ausprägungen vorkommt. So ist eine Trilobitenart beispielsweise polymorph, wenn ihre Angehörigen nicht immer dieselbe Anzahl von Beinpaaren oder Thorakalsegmenten besitzen.
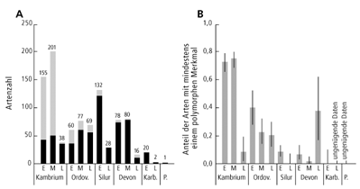
Webster erfasste 40.957 verschiedene Merkmale bei den 982 untersuchten Arten. Eine Trilobitenart wurde meist durch etwa 30 bis 70 Merkmale beschrieben, in Einzelfallen wurden minimal nur 3 und maximal 140 Merkmale erfasst. Mehr als 35% der 982 untersuchten Trilobitenarten waren zumindest bezüglich eines Merkmals polymorph. Die polymorphen Arten waren weder gleichmäßig noch zufällig über die Zeit des fossilen Auftretens der Trilobiten verteilt. Vielmehr fand man, dass 70% der untersuchten Trilobitenarten aus dem frühen und mittleren Kambrium polymorph waren, während das in allen anderen Zeitabschnitten bis einschließlich Perm für weniger als 40% (und oft weniger als 20%) der Arten zutrifft (Abb. 2).

Abb. 2: Zeitliches Muster der Häufigkeit (A) und des relativen Anteils von Trilobitenarten mit mindestens einem polymorphen Merkmal (B). Blau in A: polymorphe Arten, schwarz: monomorphe Arten. Ordov. = Ordovizium; Karb. = Karbon, P. = Perm. (Nach Webster 2007)
Die größte innerartliche Variabilität zeigte sich ebenfalls im frühen und mittleren Kambrium, wo einige Arten in mehr als 20% ihrer Merkmale polymorph waren. Durchschnittlich waren sie das zu dieser Zeit in 3% ihrer Merkmale. Keine der 588 nachkambrischen Arten war in mehr als 15% ihrer Merkmale polymorph, und durchschnittlich sogar nur in weniger als einem Merkmal. In den 3 Ordnungen Redlichiida, Ptychopariida und Agnostida, die sich früher aufspalteten und/oder ein stratigraphisch höheres Alter hatten, war ein signifikant größerer Teil der Arten polymorph (Redlichiida 53%, Ptychopariida 79%, Agnostida 88%) als in den übrigen jüngeren Ordnungen (Corynexochida 10%, Proetida 17%, Phacopida 7%, Lichida 13%, Asaphida 4% und in der umstrittenen Ordnung Burlingiida sogar nur 0%). Die zeitliche Abnahme der Variabilität ist also in erster Linie eine Folge der Unterschiede zwischen den zeitlich aufeinander folgenden einzelnen Ordnungen. Allerdings zeigten die Proetida und Phacopida auch innerhalb der Ordnung eine begrenzte Abnahme der Variabilität mit der Zeit. Für die anderen jüngeren Ordnungen liegen nach Webster nicht genügend Funde vor.
Webster verweist auf viele andere fossile Taxa, die eine bemerkenswert asymmetrische Naturgeschichte hätten: zu Beginn ihres Auftretens eine große morphologische Vielfalt, gefolgt von einer Abnahme der Vielfalt oder des „evolutionären Erfindungsreichtums“ (Gould 1989). Unter der Bezeichnung „Rosa’s Rule“ wird dies seit dem 19. Jahrhundert diskutiert. Eine hohe Variabilität könne offenbar die Richtung und Geschwindigkeit der Evolution beeinflussen. Webster räumt ein, dass die Bedeutung von innerartlicher Variabilität für das Verständnis der (makro-)evolutionären Entstehung qualitativ neuer Strukturen unklar sei; theoretisch sei zu erwarten, dass eine erhöhte Variabilität die Entstehung neuer Strukturen und Funktionen begünstige. Aber seine Arbeit führe in dieser Frage nicht weiter, da sie nur untersuche, ob eine Art für ein bestimmtes Merkmal polymorph sei, unabhängig davon, ob dieses evolutionär als ursprünglich, abgeleitet oder konvergent anzusehen sei.
Webster sieht 2 Ursachen für die Abnahme der Variabilität mit der Zeit: 1. Zunehmende Einschränkung in den genetischen Entwicklungsprogrammen der jeweiligen Trilobiten: die offenbar zu Beginn „offeneren“ oder „instabileren“ Genome „stabilisierten“ sich mit der Zeit und verloren die Fähigkeit zur Hervorbringung veränderter Organismen ohne negative Effekte auf die Überlebensfähigkeit. 2. Mit der Zeit zunehmende Besetzung freier ökologischer Nischen ließ eine größere Variabilität zu einem Überlebensnachteil statt einem Vorteil werden. Die unbekannten zugrundeliegenden molekulargenetischen Mechanismen, z.B. zur Entstehung von qualitativ neuen Genen, müssten durch weitere Forschung aufgeklärt werden.
Im Rahmen der Grundtypenbiologie könnten die Befunde wie folgt gedeutet werden: Einige wenige polyvalente Stammformen („Grundtypen“) trafen nach einer großen Katastrophe auf günstige Lebensbedingungen in einer verhältnismäßig „leeren“ Erde mit zunächst wenigen und dann im Laufe der Wiederbesiedlung zahlenmäßig rasch zunehmenden ökologischen Nischen. Ausgehend von dem vorhandenen reichen genetischen Potential der Trilobiten-Grundtypen bildeten sich rasch „Spezialisten“, die sich unter Verlust von genetischer Vielfalt an die einzelnen Nischen anpassten. Ähnliches ist aus jüngster Zeit bei Buntbarschen, Guppys oder Darwinfinken bekannt, die sich unter Veränderung nur weniger „Schaltergene“ rasch in neue Umgebungen mikroevolutiv anpassen konnten (Fehrer 1997, Brüggemann 1998, Junker 2006). Auch bei kambrischen Brachiopoden (Armfüßer) und Sauriern des Mesozoikums finden sich offenbar die komplexeren und variableren Formen fossil zu Beginn (Stephan 2006). Die Studie von Webster ist somit ein weiteres Argument für die seit Jahrzehnten diskutierte Alternativdeutung (Stephan 1994) der „kambrischen Explosion des Lebens“: Rasche Radiation unter mikroevolutiver Variation und Genverlust, ausgehend von wenigen Stammformen.
Beschleunigte Mikroevolution bei Guppys. Stud. Int. J. 5, 38-39.
Explosive Artbildung bei Buntbarschen in ostafrikanischen Seen. Stud. Int. J. 4, 51-55.
Wonderfull life. The burgess shale and the nature of history. New York.
Variation and early evolution. Science 317, 459-460.
Schnabelvariation bei Darwinfinken: Nur ein Schalter. Stud. Int. J. 13, 50-51.
Neuere Forschungen zur Lebewelt im Kambrium und Jung- Präkambrium – ein Überblick. Stud. Int. J. 1, 4-11.
Konvergenzen oder komplexe Ausgangsform? Brachiopoden (Armfüßer) und Saurier. Stud. Int. J. 13, 98-99.
A cambrian peak in morphological variation within trilobite species. Science 317, 499-502.
Letzte Änderung: 28.01.2009 •