„Zufall und Notwendigkeit
erklären den Ursprung des Lebens nicht“
von Peter Imming und Eberhard Bertsch
Studium Integrale Journal
14. Jahrgang / Heft 2 - Oktober 2007
Seite 55 - 65
Zusammenfassung: Unter diesem Titel erschien im Jahr 2004 eine längere Fachpublikation in der Zeitschrift Cell Biology International (Trevors & Abel 2004). Darin wird am Ende konstatiert, dass „auch der ursprünglichste Protometabolismus ein integratives Management benötigt hätte“. In ähnlicher Weise kommt eine Arbeit in der mathematischen Fachzeitschrift Chaos, Solitons and Fractals (Voie 2006) zu dem Schluss, es sei „sehr natürlich, dass viele Wissenschaftler glauben, das Leben sei eher ein Subsystem eines Geistes, der größer als die Menschen ist, oder eines symbolischen Superrechners“ und „nicht ein Subsystem des [materiellen] Universums“. Wie kommen Wissenschaftler unterschiedlicher Disziplinen dazu, solche von anderen verschmähte, ja als wissenschaftsfeindlich stigmatisierte Gedanken gerade aus naturwissenschaftlichen Überlegungen abzuleiten? Gilt nicht das Primat der Materie über den Geist als unveräußerliche Bedingung echter naturwissenschaftlicher Theoriebildung? Die Autoren des vorliegenden Artikels möchten die wissenschaftlichen Überlegungen von Trevors, Abel, Voie und anderen einer breiteren Leserschaft bekanntmachen und zur Lektüre der Originalartikel anregen. Deshalb legen wir eine Zusammenfassung vor, in die wir eigene Überlegungen als Chemiker (P.I.) und Informatiker (E.B.) eingearbeitet haben.
• • • • • • • • • • • • • • • •
Mindestens vier „Urknalle“
Mit * versehene Begriffe
werden im Glossar erklärt.
Es gibt mindestens vier Organisationsstufen des Seins, die sich nach Auffassung mancher Naturphilosophen und -wissenschaftler einer Erklärung durch graduelle Entstehung entziehen: (1) Der Übergang vom Nichtsein zum Sein; (2) der Übergang von toter zu lebender Materie; (3) der Übergang zum Bewusstsein; (4) der Übergang von Nicht-Sittlichkeit zu Sittlichkeit. Der erste Übergang gehört zur Frage nach einem kosmischen Urknall (Pailer & Krabbe 2006); der dritte wird oft auf dem Wege von Definitionen wegzuerklären versucht (siehe die Analyse dieser Argumentationen bei Spaemann & Löw 2005); der vierte beinhaltet die Frage nach der Begründung einer Ethik. Der Unterschied von lebender und toter Materie (Übergang 2) beschäftigt Chemiker und Genetiker. Erlauben die bekannten Gesetze der Chemie und Informationstheorie eine Umorganisation von Materie in dem Sinne, dass Biomoleküle und Biomolekülverbände („Hardware“) sowie biochemische und zelluläre Organisationsformen („Software“) ohne „integratives Management“ (s. obiges Zitat) entstehen? Diese Fragen werden schon lange diskutiert. In den letzten Jahrzehnten wurde die Detailkenntnis biochemischer und genetischer Prozesse vertieft und erlaubt dadurch nun eine genauere Analyse des Phänomens „Leben“ auf molekularer Ebene.
Eine Notwendigkeit kann nicht als
ursächliche Begründung eingesetzt
werden; denn die Notwendigkeit für
einen Organismus, ein bestimmtes
Merkmal zu haben, befähigt ihn
nicht, es auch zu entwickeln.
Eine kurze pointierte Definition von Leben scheint kaum möglich; doch sind viele für Leben notwendige Voraussetzungen und Vorgänge im Detail bekannt. Beispielhaft seien genannt: Als Voraussetzung die Existenz von Proteinen; als Vorgang der Informationsfluss vom Zellkern zum Ribosom. Allgemeiner ist in neuerer Zeit die kybernetische Natur des Lebens hervorgehoben worden. Eine digitale, genetische Steuerung chemischer Vorgänge findet sich nur in Lebewesen (Abel & Trevors 2006).Die Voraussetzungen und Vorgänge des Lebens können wissenschaftlich analysiert und oft sogar experimentell simuliert werden. So kann stärker eingeengt werden, welche Bedingungen für ihre Entstehung und Existenz erstens hinreichend und zweitens notwendig sind. Häufig wird aus der Formulierungsweise jedoch nicht klar, dass eine notwendige Bedingung noch keine hinreichende ist. Sauerstoff in der Atemluft ist für menschliches Leben notwendig, aber eine Atomsphäre mit 20% Sauerstoff ist nicht hinreichend für Entstehung und Existenz von Menschen. Deshalb betonen wir im Einklang mit grundlegenden logischen und philosophischen Aussagen: Eine Notwendigkeit kann nicht als ursächliche Begründung eingesetzt werden; denn die Notwendigkeit für einen Organismus, ein bestimmtes Merkmal zu haben, befähigt ihn nicht, es auch zu entwickeln. Entwickeln kann sich nur, was genetisch angelegt ist. Simplifizierend, aber anschaulich gesagt: Flügel zu haben, wäre für uns Menschen manchmal ein Überlebensvorteil, aber aus der Notwendigkeit erwächst keine Flügelanlage. Notwendigkeit ist nicht hinreichend für das In-Existenz-Kommen.
Voraussetzungen für Leben

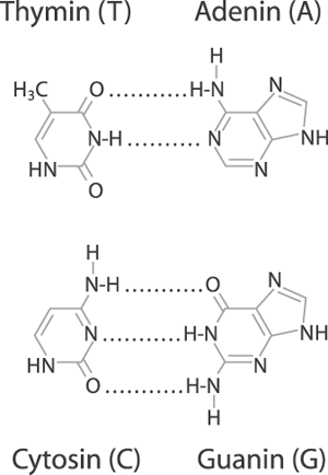
Abb. 1: Aufbau der DNA. Rechts Doppelhelix, Z = Zucker Desoxyribose, P Phosphatrest. Links die vier Grundbausteine (Basen) der DNA. Je zwei Basen passen genau zueinander und sind daher „komplementär“. Die Basenpaarung erfolgt über Wasserstoffbrücken (gepunktete Linien). Mittels der DNA-Sequenz (Abfolge) werden die Reihenfolgen der Aminosäuren in den Proteinen programmiert. Ein Triplett steht für eine Aminosäure. (Aus Junker & Scherer 2006)

Es ist unmöglich, alle Voraussetzungen für Leben aufzuzählen. Trevors & Abel (2004) beschränken sich auf den Ursprung des Lebens (Urzeugung) und hier wiederum auf die schon für einfachste Einzeller lebensnotwendige biochemisch-genetische Maschinerie. Sie geben zu bedenken, dass man auf der konventionellen Zeitskala nur 200 Millionen Jahre hat, bis auf der abgekühlten Erde das erstmalige Auftreten von Leben nach üblicher Vermutung erfolgte. In dieser vergleichsweise kurzen Zeit hätten also die folgenden notwendigen Voraussetzungen für Leben entstanden sein müssen:
Aus dieser Analyse wird sehr deutlich, dass der Sprung von toter Materie und präbiotischer* Chemie zu den Abläufen in Organismen wirklich ein Sprung und kein Gang ist. Unter dem einen Schlagwort „genetischer Code“ verbergen sich zwei ganz unterschiedliche Dinge, die auseinandergehalten werden müssen: Zum einen die Entstehung von Instruktionen („Anweisungen“), zum anderen die Entstehung eines Codesystems mehrerer Programmiersprachen, mittels derer man die Instruktionen notieren und weitergeben kann (Trevors & Abel 2004). Zellen müssen beides beherrschen: Algorithmische Programme zu schreiben (einfacher); verschiedene Codesysteme ineinander zu übersetzen (schwieriger). Gene und Gen-Netzwerke sind Beispiele für Programmierung. Damit programmiert werden kann, muss ein Betriebssystem existieren. Anschaulicher mit einer Analogie gesagt: Die von Schriftzeichen (Buchstaben, Wörter, Sätze) ergibt nur dann einen versteh- und ausführbaren Text, wenn so etwas wie Sprache schon existiert. Da man bei natürlichen Prozessen außerhalb lebender Zellen nie beobachtet hat, dass sie Instruktionen innerhalb eines konzeptionellen Systems „aufschreiben“ (programmieren) können, fehlen der Theorie der molekularen Evolution die Mechanismen für die Entstehung schon der grundlegendsten lebensnotwendigen Prozesse zur Informationsspeicherung, Informationsweitergabe und entscheidungsbasierten Informationsverarbeitung:
Natürliche Selektion
Natürliche Selektion ist ein beobachtbarer Mechanismus, der natürlich auch von Schöpfungsgläubigen nicht geleugnet wird (z.B. Junker & Scherer 2006). Er führt zur Auswahl der bestangepassten Organismen durch die Umwelt. Dabei werden Phänotypen ausgewählt, die das fertige Produkt genetischer Algorithmen sind. Dabei gilt: Die Umwelt selektiert nicht Nukleotid- oder Codon-Sequenzen, sondern Phänotypen. Trevors & Abel (2004) stellen daher fest: „Die Natur hat nicht die Fähigkeit, ein kybernetisches System auf der Ebene der Entscheidungsknoten (s. Textkasten) zu optimieren“, geschweige denn es zu erzeugen. Physikalisch-chemische Naturgesetze („Notwendigkeiten“) führen nicht zum Aufbau eines kompletten Betriebssystems und programmierter Instruktionen. Etwas vereinfacht gesagt erhebt sich die Frage: Wenn die Natur „nur“ fertige Systeme durch Selektion optimieren kann, die aus genetischem Speicher und Genotyp-Phänotyp-Maschinerie bestehen, wie kann sie solche Systeme erzeugt haben? Oder kann sie es nicht allein?
Haben lebende Zellen ein Betriebssystem?
Der Vergleich zwischen Konzepten aus Informationstechnik und Informatik einerseits und solchen aus der Molekularbiologie andererseits wird in den hier zitierten Veröffentlichungen wiederholt herangezogen. Für Leser mit geringen Vorkenntnissen auf einem oder beiden dieser Gebiete soll die Begründung und Berechtigung des Vergleichs in knapper Form erläutert werden. Ein Anwendungsprogramm wie etwa ein Computerspiel oder ein Texteditor oder eine Tabellenkalkulation, das seinerseits aus Millionen einzelner Anweisungen (Schaltungsaufrufen) besteht, kann beispielsweise über eine CD-ROM in den Speicher eines PC geladen werden. Es ist dann auf dem PC lauffähig. Allerdings setzt dies das gleichzeitige Vorhandensein eines Grundprogramms voraus, das ebenfalls aus vielen Millionen einzelner Anweisungen besteht und den ausdrücklichen Zweck hat, die Ausführung von Anwendungsprogrammen zu ermöglichen. Man nennt solche Grundprogramme Betriebssysteme (operating systems). Auch die Übersetzung von Computerprogrammen aus einer von Menschen hergestellten Form in eine vom Rechner unmittelbar ausführbare Form (Folge von Instruktionen) kann nur bei Vorhandensein des passenden Betriebssystems geschehen. Auf häuslichen Computern sind heutzutage vorwiegend das Betriebssystem Windows – entwickelt in der von Bill Gates gegründeten Firma Microsoft in Seattle, USA – und verschiedene Varianten von Linux – das frei kopiert werden darf – gebräuchlich. Rechner der Firmen Apple und Sun verwenden Betriebssysteme, die Linux in verschiedener Hinsicht ähnlich sind.Dieser Sachverhalt entspricht dem Zusammenwirken zwischen Eiweißen und Nukleinsäuren, die einen bestimmten Zweck in Aufbau und Erhaltung von Lebewesen erfüllen, und solchen anderen Eiweißen und Nukleinsäuren, die das komplizierte Steuerungssystem für die zuvor genannten bilden. Transkription (Abschreiben von Genen) und Translation (Übersetzen in die Sprache der Aminosäuren) erfüllen keine unmittelbar nützlichen Aufgaben des Lebens, sondern stellen lediglich auf sehr indirektem Wege deren organisatorischen Rahmen dar. Diese Unterscheidung ist also ganz ähnlich zu derjenigen zwischen einem Anwendungsprogramm und einem Betriebssystem. Hinzu kommt die Tatsache, dass in beiden Welten die Darstellung der Instruktionen durch Folgen aus Millionen oder Milliarden von Buchstaben eines ganz kleinen Alphabets geschieht: 0 und 1, also niedrige und hohe Spannung, in der Informationstechnik; die einfachen Moleküle A, T, C und G in der Biologie.

Abb. 2: Vom Gen zum Protein. A Die Erbinformation wird in der Sequenz der DNA-Basen A,T,C und G gespeichert und vererbt (vgl. Abb. 1). Wasserstoffbrückenbindungen sorgen dabei stets für korrekte Basenpaarung. B Ein komplizierter Enzymkomplex (RNA-Polymerase) stellt eine Arbeitskopie des Gens her, welche als messenger-RNA (mRNA) bezeichnet wird (in RNA wird Uracil statt Thymin verwendet). C Eine noch weit kompliziertere molekulare Maschine (Ribosom) ermöglicht, dass aminosäuretragende transfer-RNS-Moleküle an die Basentripletts der mRNS angelagert werden. D Diese Aminosäuren werden am Ribosom zu einer wachsenden Kette verbunden. E Die Aminosäurekette faltet sich, meist unter Mitwirkung von Hilfsproteinen, zum funktionalen Protein zusammen. (Zeichnung nicht maßstabsgetreu; aus Junker & Scherer 2006)
Lange Zeiten

Abb. 3: Der genetische Code in seiner Standardform. Er ist hier auf der mRNA-Ebene angegeben, dort wird statt Thymin die Nukleobase Uracil (U) verwendet. Pyrrolysin und Selenocystein sind selten vorkommende Aminosäuren, die als Bausteine von Proteinen erst in den letzten Jahren entdeckt wurden. (Aus Junker & Scherer 2006)
Wie in evolutionstheoretischen Modellen üblich, werden auch für die Urzeugung häufig „lange Zeiträume“ als Lückenbüßer für unbekannte Mechanismen eingesetzt. Trevors & Abel (2004) weisen darauf hin, dass für die spontane Entstehung genetischer Instruktionen gar nicht lange Zeiten gebraucht werden, sondern plausible Mechanismen und empirische Hinweise auf die ungesteuerte, naturalistische Entstehung funktioneller Algorithmen. Die Komplexität des innerzellulären Kommunikationssystems erfordert beispielsweise, dass das Proteinbiosynthese-System komplett vorhanden sein muss: RNA zur Synthese der Proteine, Proteine zur Synthese von RNA, sowie Aminosäuren und andere Moleküle als Bausteine. Nur vom kompletten System können biochemische Botschaften (Signale) gesendet werden. Zugleich muss aber auch der korrekte Code für die benötigten Proteine auf DNA- und mRNA-Basis existieren. Modellvorstellungen, die von einfacheren Systemen ausgehend die Entstehung komplexer simulieren sollen, versagen nach Meinung von Trevors & Abel (2004) bei detaillierter Betrachtung. Zum Beispiel wurde vorgeschlagen, die Anzahl der Nukleotide pro Codon (heute: drei) hätte sich im Laufe der Entstehungsgeschichte verändert (erhöht). Eine solche Veränderung hätte aber zum kompletten Verlust der bis dahin erworbenen biochemischen Funktionalität geführt, und das Leben hätte wieder von vorn beginnen müssen.
Unmögliche Dinge passieren auch dann nicht, wenn man lange wartet. Ab welcher Wahrscheinlichkeit ist etwas unmöglich? Statistische Abschätzungen zur Wahrscheinlichkeit der Entstehung von definierten Proteinsequenzen liefern sehr kleine Zahlen mit sehr begrenzter Aussagefähigkeit. Für viele Chemiker ist die Wahrscheinlichkeit der ungesteuerten Entstehung biochemischer Systeme aber
Unmögliche Dinge passieren auch
dann nicht, wenn man lange wartet.
– ganz losgelöst von Statistik – mit der Bewegung eines Backsteins vergleichbar: Er fällt immer nach unten, wenn man ihn loslässt. Keine quantenphysikalische Berechnung kann uns überzeugen, dass er auch einmal nach oben „fällt“, selbst wenn wir es eine Milliarde Mal versuchen. Das ist unmöglich, weil wir es erstens nie beobachtet haben und zweitens keinen natürlichen Mechanismus wissen, der hier auf der Erde eine solche Anomalie verursachen könnte. Analog ist es bei biochemischen Systemen: Dem chemischen Sachverstand erscheint es unmöglich, dass sich Moleküle spontan und ohne äußere Steuerung (egal ob plötzlich oder ganz allmählich) zu Systemen zusammenfinden, die wir lebende Zellen nennen.
Entscheidungsknoten
Die Verwendung dieses Wortes in der Informatik kommt daher, dass man sich jeden programmierten Ablauf auch als ein Flussdiagramm vorstellen kann, in dem die nacheinander auszuführenden Schritte durch Linien verbunden sind. Wenn auf eine Stelle im Diagramm nur eine Linie hinführt, aber mehrere von ihr wegführen, dann liegt das an einer Auswahl oder Entscheidung, ob der eine oder der andere Weg weiter verfolgt wird. Das Wort „Knoten“ wird in der Theorie der Graphen, also ursprünglich einem Gebiet der reinen Mathematik, für solche Stellen verwendet. Die Verbindungen der Knoten heißen „Kanten“. (Im Englischen sind es „nodes“ und „edges“.) Im Zusammenhang dieses Artikels ist der Begriff „Entscheidungsknoten“ in einem übertragenen, abstrakten Sinne zu verstehen. In einem biochemisch gesteuerten System wäre etwa die Anwesenheit oder Abwesenheit von Laktose (Milchzucker) ein Auslöser der Entscheidung, ob ein bestimmtes Gen aktiviert wird oder nicht. Diese Entscheidung stellt innerhalb des gesamten Ablaufs einen sogenannten Knotenpunkt dar.
Die erwähnte „Optimierung“ auf dieser Ebene – deren Erreichbarkeit durch zufällige Vorgänge von den Autoren in Frage gestellt wird – würde beinhalten, dass zufällige Veränderungen einer solchen Struktur zu Abläufen führen können, in denen angemessene Entscheidungen besser erzielt werden als im ursprünglichen Zustand.
Programme und Programm-Systeme
Wie oben erwähnt ist der „genetische Code“ tatsächlich ein System verschiedener Codes:
(a) Die Vorgänge der Verschlüsselung und Entschlüsselung auf dem Weg von der DNA zum Protein;
(b) den vom DNA-Code wesensmäßig verschiedenen Proteincode. Es gibt keinen direkten physikochemischen Zusammenhang zwischen der DNA-Sequenz und der Aminosäure-Sequenz. Erstere ist ein programmierter Informationsspeicher; letztere für bestimmte Funktionen optimiert. Die Funktion von Proteinen als Baustoffe, Botenstoffe und Biokatalysatoren beruht nämlich nicht auf ihrer Aminosäuresequenz, sondern auf ihrer dreidimensionalen Struktur. Letztere wird auch Tertiärstruktur genannt, beruht auf korrekter Faltung der Kette und wird oft bereits durch Austausch einzelner Aminosäuren inaktiv. Bei Proteinen ist also die 3D-Struktur der „Code“, und damit ein funktioneller, kein Datenspeicher-Code. Um es in der Sprache der Informatik zu formulieren: DNA-„Sprache“ und Protein-„Sprache“ haben einerseits eine Syntax und Semantik, die völlig unterschiedlich sind. Sie hängen andererseits durch symbolische Repräsentation zusammen. Das kann jedoch nicht durch Ursache-Wirkungsbeziehungen entstehen, schreiben Trevors & Abel (2004). Repräsentation kann als „Entsprechung“ angesehen werden; dabei handelt es sich um eine formale, keine physikochemische Beziehung von Molekülen zueinander. „Formal“ wiederum heißt hier nicht „pro forma“. Vielmehr ist das Wort informationstheoretisch zu verstehen: Als Entsprechung oder Abbildung unterschiedlich verschlüsselter Daten.
Im chemischen Detail soll der Sachverhalt durch Beispiele illustriert werden:
(a) Die epigenetische Programmierung bestimmt, welche Abschnitte welches Chromosoms in welchem Entwicklungs- oder Funktionsstadium einer Zelle transkribiert (übersetzt) werden können. Es handelt sich nach gegenwärtigem Wissen vor allem um chemische Modifikationen (Methylierungen, Acetylierungen) der DNA-Basen und der Histone, auf welche die DNA aufgewickelt ist, sowie um lokale Dichtevariationen des Chromatins. Man spricht oft von einem „Histon-Code“ (Ausio 2006).
(b) Auf viele Proteine setzt ein weiterer Code auf in Form von Oligosaccharid-Gruppen (Zuckerresten), die sehr spezifisch kovalent an Proteine gebunden sind. Diesem Code wird ein sehr viel höherer Informationsgehalt zugesprochen als dem DNA-Code (Gabius 2000). Die Zuckerreste werden posttranslational aufgebracht, also nach der Biosynthese der Proteine am Ribosom. Solche modifizierten Proteine werden Glykoproteine genannt; sie spielen eine große Rolle bei der Erkennung der Individualität auf biochemischer Ebene, z. B. im Immunsystem und für die gegenseitige Erkennung von Zellen eines Organismus. Wenn man sagt, der Oligosaccharid-Code sei irgendwie „genetisch programmiert“, so geht man – wie Trevors & Abel für den DNA- und Proteincode zeigen – sprachlich leichtfertig darüber hinweg, dass das eigentliche Erklärungsproblem darin besteht, wie zwei ganz unterschiedliche Programmsprachen mit symbolischer Repräsentation entstehen konnten. Es kommt hinzu, dass auch einfachste Lebensformen nicht auf eine davon verzichten können. Die auf der DNA codierte Information als „Sender“ und die Proteinsynthesemaschinerie als „Empfänger“ benötigen einander.
Vergleich: spontane Synthese von Poypeptiden - Proteinbiosynthese
Für eine spontane, ungesteuerte Synthese von Polypeptiden (kettenförmige Verbindungen aus vielen Aminosäuren) ist bereits die Verfügbarkeit der Ausgangsstoffe (Aminosäuren) unklar. Unspezifische Synthesen liefern komplexe Stoffgemische von Molekülen mit geringer Molekülmasse. Bisherige Modellversuche belegen, dass in einer „Ursuppe“ einige wenige der bekannten proteinogenen Aminosäuren in geringen Anteilen (Spuren) erwartet werden können. In Aminosäuren stellen die Carboxyl(-COOH)- und Amino(-NH2)gruppen die funktionellen Gruppen dar, die bei einer Peptidsynthese miteinander unter Wasserabspaltung verknüpft werden (Kondensationsreaktion). Viele andere kleine Moleküle weisen ebenfalls solche und weitere funktionellen Gruppen auf, die miteinander reagieren können; diese Moleküle müssten vollständig entfernt werden, da sonst der Aufbau von Polypeptiden nicht möglich ist (Junker & Scherer 2006, IV.7).
Für die gezielte Peptidsynthese werden sorgfältige Strategien entwickelt, bei denen u.a. die funktionellen Gruppen, an welchen keine Reaktion erfolgen soll, selektiv geschützt und die Reaktionspartner für die Kupplungsreaktion fein abgestimmt aktiviert werden.
Der Aufbau von homochiralen* Peptiden, die einen einheitlichen dreidimensionalen Aufbau der Aminosäurebausteine aufweisen, kann bei spontaner Biopolymerisation nicht gewährleistet werden (Imming 2006). Peptidketten können sich ab einer bestimmten Größe falten, d.h. eine übergeordnete Struktur aufweisen; für Enzyme ist ein spezifisches Faltungsmuster unabdingbar. Hydrolyseprozesse (Spaltung unter Wasseraufnahme) begrenzen die Konzentration an Peptiden, die in spontanen Biopolymerisationsprozessen entstehen. In der Proteinbiosynthese werden Proteine anhand der in der DNA kodierten Information nach Transkription auf RNA an den Ribosomen in einem fein abgestimmten, komplexen Prozess unter Beteiligung von t-RNA synthetisiert. Die sich bildende Polypeptidkette wird z.T. bereits während der Synthese unter Mithilfe anderer Proteine (Chaperone, Aufseher) spezifisch gefaltet und nach entsprechendem Transport am Einsatzort in ein komplexes biochemisches System eingeordnet.
Leben aus dem All
Die konzeptionelle Schwierigkeit, ohne Verletzung physikalischer, chemischer und informationstheoretischer Gesetze und Befunde spontan einfachste Lebensformen entstehen zu lassen, führt zu Vorstellungen, das Leben – „Lebenssporen“ – sei aus dem All auf die Erde gekommen. Gleichzeitig wird postuliert, die Erde habe ab einem gewissen geologischen Stadium die besten Voraussetzungen für Leben geboten. Wenn es jedoch schon unter diesen Bedingungen schwerfällt, den Ursprung des Lebens naturalistisch zu erklären, so dürfte das im All, auf Meteoriten oder auf dem Mars noch wesentlich schwerer fallen. Beispielsweise wird Wasser auf dem Mars als Voraussetzung für Leben angesehen. Auf der Erde gibt es schon sehr lange viel Wasser; wenn die schiere Anwesenheit von Wasser ungesteuerte Urzeugung wahrscheinlich macht, müsste man den Mars nicht bemühen. Trevors & Abel (2004) weisen sehr deutlich auf die triviale Überlegung hin: „Die Anwesenheit von Wasser erzeugt oder erklärt Leben nicht.“ Wasser ist eine notwendige, aber keine hinreichende Voraussetzung für Leben. Denselben Status haben viele andere chemische und physikalische Moleküle und Gegebenheiten. Sogar die Existenz langkettiger DNA-Stränge reicht nicht aus, Leben und Lebensentstehung zu begründen (Trevors & Abel 2004): Kurz nach dem Tod ist die DNA noch chemisch intakt und näher „am Leben dran“ als irgendeine abiotisch entstandene DNA. Dennoch ist und bleibt die Zelle tot. DNA, Proteine, Polysaccharide und alle Biomoleküle sowie der genetische Code sind notwendige, aber nicht hinreichende Bedingungen für Leben. Würde man eine „funktionierende“ DNA oder RNA in eine abiotische Umgebung verbringen, zum Beispiel auf eine präbiotische Erde, so könnte sie ihre „Botschaft“ (ihren Code) nicht empfangen; somit könnte diese nicht entschlüsselt und verstanden werden. Dafür wird eine Sprache und „Hardware“ benötigt, also die definierte Umsetzung in funktionelle Proteine und der gesamte Proteinsynthese-Apparat – angefangen von der Synthese enantiomerenreiner* proteinogener* Aminosäuren bis zum Ribosom.
Aus denselben Überlegungen und Befunden scheidet laut Trevors & Abel (2004) auch ein Lebensbeginn in Form einer RNA-Welt aus. Eine RNA-Sequenz hat erst dann die Qualität eines Codes, wenn die Nukleotidsequenz mit einer Proteinfunktion kommunizieren kann. Ohne letzteres ist eine RNA-Sequenz eine zwar komplexe und geordnete, aber bedeutungslose Anhäufung von Atomen. Die schon vorgetragenen Argumente gelten erneut: Nach welchem rein naturalistischen Mechanismus sollte sich eine RNA-Welt zu dem in Lebewesen angetroffenen verflochtenen System verschiedener Programmsprachen entwickelt haben?
Man trifft hier auf biochemischer und genetischer Ebene mehrfach das altbekannte Henne-Ei-Problem wieder an.
Hennen und Eier
Detaillierte wissenschaftliche Forschung hat uns geholfen, manche naive Vorstellung vom Wesen der Natur abzulegen. Die präzise Definition von Begriffen und die genaue Analyse des detaillierten Ablaufs von Naturvorgängen haben Theorien korrigiert, die sich aus oberflächlicher Betrachtung ergeben. Es ist aber frappierend, dass viele Phänomene und Fragestellungen sowohl bei oberflächlicher als auch bei wissenschaftlicher, sowohl bei systembezogener als auch bei molekularer Betrachtung identisch wiederkehren. Das Henne-Ei-Problem ist ein Beispiel: Sowohl bei Betrachtung des ganzen Tieres als auch bei Analyse biochemischer Abläufe stellt man fest, dass wesentliche Dinge gleichzeitig gebraucht werden. Die Skalierung der Betrachtung auf die submikroskopischen Abläufe lässt das Problem nicht verschwinden, sondern in einer Vielzahl von Einzelfällen und Einzelmechanismen vermehrt wieder auftreten.
Funktion
In den vorigen Abschnitten war mehrmals die Rede von Funktion und Funktionalität. Proteine in lebenden Organismen haben aus Sicht der untersuchenden Wissenschaftler Funktionen. Genau das unterscheidet sie von beliebigen Aminosäure-Polymeren, mit denen sie ansonsten physikochemisch alles gemeinsam haben. Für ein Objekt können verschiedene Funktionen erkannt werden. Umgekehrt kann eine Funktion durch verschiedene Objekte oder Prozesse realisiert werden. Beispielsweise können so unterschiedliche physikalische Prozesse wie Atomzerfall, Wasserbewegung und Schwingungen eines Quarzkristalls dazu dienen, Zeitdifferenzen zu repräsentieren. Polanyi (1970) schrieb: „Eine Maschine … kann nicht in Begriffen von Physik und Chemie erklärt werden. Maschinen können fehlerhaft arbeiten oder kaputtgehen – das kann den Gesetzen der Physik und Chemie nicht passieren. Ja selbst wenn eine Maschine auseinanderfällt, werden die Gesetze der Physik und Chemie in den Teilen unfehlbar weiterarbeiten, die übrig sind, wenn die Maschine schon nicht mehr existiert. Die Strukturen der Maschine sind nach Prinzipien der Ingenieurtechnik geschaffen worden und machen sich die Gesetze der Physik und Chemie zunutze im Dienste der Zwecke, denen zu dienen die Maschine entworfen wurde. Physik und Chemie können die praktischen Prinzipien des Designs und der Koordination nicht aufdecken, welche den Bau der Maschine ausmachen.“ Der Grund für die Funktionalität einer Maschine liegt weder in Naturgesetzen noch im Zufall, sondern im Geist des Ingenieurs (Voie 2006). Ebenso deutlich sagte es ein anderer Nobelpreisträger im Hinblick auf Signal- und Symbolsysteme: „Die Bedeutung der Botschaft wird nicht in den chemischen Bestandteilen der Tinte gefunden werden“ (Sperry 1990). Auch die detaillierteste chemische Analyse einer Tinte wird nie erkennen lassen, was aufgeschrieben wurde.
Funktion ist ebenso wie Bedeutung keine Eigenschaft, die sich naturgesetzlich ergibt. „Bottom-up“-Erklärungen* semantischer Systeme wie des genetischen Codes aus physikalisch-chemischen Materie-Eigenschaften funktionieren nicht. Selbst wenn wir einen Mechanismus wüssten, durch den in der Vergangenheit ungesteuert Polynukleotide entstanden sind, so erklärt das nicht, wie diese Moleküle ihre Funktion erworben haben, eine von ihrer schieren Existenz qualitativ unterschiedene Eigenschaft. Aus der Existenz ergibt sich nicht automatisch Funktion – diese Aussage entspricht dem bekannten Satz „Das Sollen ergibt sich nicht aus dem Sein“.
Notwendigkeit
Natürliche Prozesse sind in hohem Maße selbstordnend. Damit ist gemeint, dass man sehr komplexe Daten mit sehr kurzen „Formeln“ beschreiben kann. Die Formeln sind Naturgesetze, zum Beispiel Gesetze der Physik oder Chemie. Der hohe Informationsgehalt von Genomen lässt sich nach Auffassung von Trevors & Abel (2004) jedoch nicht auf Naturgesetze zurückführen. Er musste nicht – naturgesetzlich „erzwungen“ – entstehen. Diese Unmöglichkeit leitet sich nicht aus empirischen Befunden ab, sondern ist prinzipiell. Naturgesetze sind Beschreibungen von Ursache-Wirkungsvorgängen. Sie sind reduktionistisch, was ihre Stärke und ihre Grenzen bedingt. Vor-schreibende Informationen (englisch „prescriptive information“), also Instruktionen, kann man nicht durch Naturgesetze erklären, sondern nur durch algorithmische Programmierung. Das bedingt und erfordert eine teilweise Freiheit von naturgesetzlichen Zwängen.
Vereinfacht sei Vorstehendes am Beispiel der Bewegung von totem Sand und einer lebendigen Qualle illustriert (Abb. 4).

Abb. 4: Zweimal Ordnung: Die Sandrippeln sind zwar formschön, jedoch nur Folge von Strömungsgesetzen. Im Unterschied dazu besitzt die Qualle als lebender Organismus eine ganz andere Qualität von Ordnung: Sie nutzt Gesetzmäßigkeiten aus statt ihnen nur ausgeliefert zu sein, kann auch gegen den Strom schwimmen und besitzt eine zielgerichtete Ordnung. Dieser Unterschied hat fundamentale Folgen für das Verständnis des Lebens. (Foto: Peter Imming)
Der Sand kann nicht anders, als sich nach den Strömungsgesetzen anzuordnen. So entsteht und erklärt sich die komplexe, geordnete Struktur des sandigen Meeresbodens. Die Qualle hingegen kann mit und gegen die Strömung schwimmen. Ihre Schwimmbewegungen verletzen natürlich nicht die Gesetze der Physik (Strömungsmechanik etc.). Sämtliche Lebensäußerungen der Qualle stehen im Einklang mit Physik und Chemie, sind aber nicht darauf reduzierbar. Den Gesetzmäßigkeiten der Physik und Chemie fehlen die notwendigen Freiheitsgrade, um daraus das Sein der Qualle abzuleiten. Somit kann man aus ihnen auch nicht ableiten, wie so etwas wie eine Qualle entstehen konnte.
Allgemeiner formuliert: Jede Weltanschauung, die alles Bestehende und auch die Entstehung des Lebens rein naturgesetzlich (= kausalmechanistisch) beschreiben und erklären will, führt zu einem vollständigen Determinismus. Dieser Determinismus widerspricht der menschlichen Intuition. Über die Intuition hinaus tauchen bei genauer Betrachtung biochemischer und genetischer Prozesse Freiheitsgrade auf, die kausalmechanistisch nicht erklärt werden können. So beinhaltet die Transkriptions-Translations-Proteinsynthese-Maschinerie Redundanzen und Fehlerkorrekturmechanismen, die deterministisch nicht erklärt werden können. (Es sei erinnert, dass die Notwendigkeit für Fehlerkorrekturmechanismen ihre Entstehung nicht erzwingen kann – notwendig ist nicht hinreichend.) Die Physiker haben schon seit einer Weile mit der Quantentheorie die Vorstellung eines physikalisch determinierten Universums verlassen. Die Biochemiker, Genetiker und Molekularbiologen werden ihnen eventuell bald folgen. Dabei reicht es nicht aus, Naturgesetze nur durch den Zufall zu ergänzen, wie der folgende Abschnitt zeigt. Weder Zufall noch Notwendigkeit noch eine Kombination aus beiden erklärt den Ursprung des Lebens.
Zufall
Bisher haben wir, nach Trevors & Abel (2004), die fehlende Erklärungskraft von (naturgesetzlicher) Notwendigkeit hinsichtlich der Entstehung von Leben unter verschiedenen Aspekten aufgezeigt. Wie ist es nun mit zufälligen Prozessen? Liefern sie den gesuchten Mechanismus?
Die spontane zufällige Entstehung einer in Organismen angetroffenen DNA-Sequenz ist prinzipiell möglich. Ihre Entstehung ist angesichts des riesigen Datenraumes allerdings sehr unwahrscheinlich. Der mögliche Datenraum (Sequenzraum) reduziert sich aber sehr stark, wenn man plausible Einschränkungen zulässt. Beispielsweise erfordern Limitierungen durch die präbiotischen Ressourcen, dass nur eine kleine Anzahl von Kopien entstehen kann oder begrenzte Kettenlängen von beispielsweise RNA-Strängen resultieren. Mit den Einschränkungen nimmt nach unserem Verständnis auch der mögliche Informationsgehalt der Nukleinsäuren ab, und zwar so stark, dass die Stränge für die algorithmische Programmierung von Genen nicht mehr taugen.
Entscheidend ist jedoch die folgende Überlegung. Sogar wenn in einer präbiotischen Umgebung eine unvorstellbar große Anzahl von Nukleinsäure-Sequenzen existiert hätte, so wüssten wir doch keinen Mechanismus, der präbiotisch daraus die Sequenzen ausgewählt hätte, die Teil der Programmspeicher- und -ausführungsmaschinerie in Lebewesen sind (Abel & Trevors 2006). Naturgesetzliche Einschränkungen des Sequenzraumes, z.B. durch Adsorptionsprozesse an Lehm (Rode 1999), schränken genau das ein, was nicht eingeschränkt werden darf, nämlich dass zunächst an jeder Position jedes beliebige Nukleotid oder jede beliebige Aminosäure stehen können muss. Die verbleibende Alternative würde die Entstehung des Lebens als unausweichliche Notwendigkeit und Folge aus der Existenz der Materie überhaupt postulieren. Das ist als Glaubenssatz möglich, nicht aber als naturwissenschaftliche Aussage.
Weiter ist zu bedenken, dass zufällig entstandene Nukleinsäure-Stränge – gleichgültig ob sie heute anzutreffende oder irgendwelche anderen Sequenzen hatten – nicht die erforderliche vorschreibende Information enthalten. Die „Vorschriften“ (Instruktionen) für den Bau von Proteinen ergeben sich nicht zufällig und automatisch aus Nukleotid-Sequenzen. Trevors & Abel (2004) illustrieren letzteren Sachverhalt durch eine Analogie: „Die Buchstaben irgendeines Alphabets, mit dem man Worte bildet, haben keine vorschreibende Funktion, wenn der Adressat, der die Worte liest, die Sprachkonvention nicht kennt.“ Komplementär dazu gilt: „Der Möglichkeitsraum eines geschriebenen (oder gesprochenen) Textes wird durch kein Naturgesetz eingeschränkt“ (Hoffmeyer & Emmeche 1991).
Naturgesetze (Notwendigkeit) und Zufall erklären die Entstehung von Texten mit Bedeutung nicht. Vielmehr wird eine Konvention erkennbar, also eine willensgesteuerte Festlegung, die auch anders sein könnte. Wie auch immer die Konvention im Einzelnen lautet: Sie kann sich nicht selbst erfinden.
Voie (2006) betrachtet in seinen Überlegungen zur möglichen Rolle des Zufalls konkret die zelluläre Proteinsynthese. Zum einen bestehen die Komponenten einer Zelle u.a. aus bestimmten Proteinen, die zur richtigen Zeit in der richtigen Menge exprimiert (gebildet) werden müssen. Zum anderen müssen die Proteine in der richtigen Weise gefaltet sein, da es auf ihre dreidimensionale (3D) Struktur ankommt. Die 3D-Struktur wird von der Sequenz bestimmt, es gibt darüber hinaus Kontrollenzyme für die richtige 3D-Faltung. Die zelluläre Proteinsynthese beinhaltet nämlich einen Kontrollmechanismus, der verhindert, dass sich das Protein faltet, bevor es fertig synthetisiert ist. Eine zufallsgesteuerte Proteinsynthese jedoch kann nur kurze Peptide zustande bringen, bevor die Faltung der Kette einsetzt und die weitere Kettenverlängerung beeinträchtigt. Voie (2006) sieht sich zu dem Schluss gezwungen, dass es ein „Gedächtnis“ für die richtigen Proteine geben muss (DNA), aus dem die Information ausgelesen (Transkription*) und in die Proteinsprache „übersetzt“ wird (Translation*). Aus informationswissenschaftlicher Sicht sind also zwei gegenseitig voneinander abhängige unterschiedliche Dinge unabdingbar: ein gespeicherter Code (das „Gedächtnis“) und eine Zellmaschinerie. Erörterungen zufälliger Vorgänge betrachten aber nur einseitige Abhängigkeiten.
"Directed Evolution"
Für Replikation*, Transkription* und Reparatur der DNA sind funktionell genau abgestimmte Enzyme nötig. Ihre informationseditierende Arbeit basiert natürlich auch auf algorithmischer Programmierung. Die Abstimmung von Programmierung auf Nukleotid-Ebene und Funktionalität auf Proteinebene kann experimentell nachgeahmt werden. Sie erfordert jedoch einen massiven Eingriff seitens der Wissenschaftler (Biopolymer-„Ingenieure“), damit ein brauchbares gewünschtes
Wenn ein Experiment ‘directed’ ist,
dann ist es nicht evolutionär.
Evolution hat kein Ziel.“
Resultat erzielt wird. Das hat mit natürlicher Selektion wenig zu tun, sondern ist zielgerichtetes Arbeiten, das sich iterativer Prozesse* bedient. Trevors & Abel (2004) weisen ausdrücklich darauf hin, dass „‘directed evolution’ ein in sich widersprüchlicher Unsinnsausdruck“ sei, „der keinen Platz in der Fachliteratur hat. Wenn ein Experiment ‘directed’ [gerichtet, gelenkt] ist, dann ist es nicht evolutionär. Evolution hat kein Ziel.“ Zwar kann man evolutive Prozesse in bereits existierenden genetischen Instruktionen beobachten, aber alle diese Untersuchungen werfen kein Licht auf die entscheidende Frage: „Wie können stochastische Ensembles [von Nukleotiden] in einer präbiotischen Umgebung die Fähigkeit zu algorithmischer Programmierung erwerben?“ In einem weiteren neuen Fachartikel mit dem Titel „Mehr als Metapher: Genome sind objektive Zeichensysteme“ kommen Abel & Trevors (2006a) zu dem Schluss, dass das Leben ganz deutlich algorithmische und kybernetische Komplexität aufweist, nicht irgendeine, unklar definierte Komplexität.
Vergleich: Vesikel - Zelle
Vesikel – kugelförmige, von Lipiddoppelschichten umschlossene Strukturen – können in Größen hergestellt werden, die denjenigen von biologischen Zellen ähnlich sind. Solche Vesikel werden als biochemische Reaktoren eingesetzt, d.h. im membranumschlossenen Innenraum laufen entsprechende Reaktionen ab. Solche Systeme können als Modelle für Zellen angesehen werden. Indem man z.B. Zellextrakte und DNA mit der genetischen Bauanleitung für ein fluoreszierendes Protein in Vesikel einbringt, kann man in einem solchen Minireaktor für eine begrenzte Zeit, während der eine ganze Reihe von Randbedingungen aufrecht erhalten werden müssen, eine bestimmte Reaktion (auch mehrere gekoppelte Reaktionen) durchführen. Ein grundlegendes Problem dieser Vesikelmodelle ist, dass die Lipid-Doppelschicht den Reaktionsraum begrenzt und nur Diffusion kleinster Moleküle (z.B. Wasser) zulässt; damit werden während der Reaktion Ausgangsstoffe verbraucht und Produkte angehäuft. Die Membran einer Zelle ist dagegen überaus komplex aufgebaut und enthält z. B. integrale Proteinkomplexe, die als Sensoren oder spezifische Schleusen für den Ex- und Import verschiedenster Stoffe dienen. Glykokonjugate in der Membran dienen der spezifischen Wechselwirkung und Kommunikation mit der Umgebung. Man kann zwar ein Vesikelmodell zunehmend komplexer gestalten und versuchen, sich auf diese Weise lebenden Zellen anzunähern, indem man z.B. durch in der Membran integrierte Proteine Poren einbaut und so einen Austausch von Molekülen bestimmter Größe ermöglicht. Eine lebende Zelle unterscheidet sich aber nicht vorrangig durch einen höheren Komplexitätsgrad vom Vesikelreaktor – obwohl dieser Unterschied derzeit noch unabsehbar groß ist – sondern vor allem dadurch, dass das gesamte System sowohl intern als auch gegenüber der Umgebung eine fein abgestimmte Ganzheit darstellt. Komplexere Vesikel entstehen zudem nur unter Einsatz von chemischem Know-how.
Selbstordnung ist nicht Selbstorganisation
Eine Unterscheidung zwischen Selbstordnung und Selbstorganisation wird oft nicht gemacht, obwohl es sich um zwei unterschiedliche Vorgänge handelt (Abel & Trevors 2006b). Selbstordnende Phänomene sind wohlbekannt. Sie ereignen sich spontan und sind durch Naturgesetze determiniert, also beschreib- und analysierbar. Beispiele sind Kristallisation und die Entstehung dissipativer* Strukturen. Sich selbst ordnende Prozesse beinhalten jedoch alles das nicht, was man mindestens für die biochemisch-genetische Organisationsebene des Lebens benötigt: Biochemisch beschreibbare Merkmale mit unmittelbarer Entsprechung im Bereich von Hardware und Software. Manchmal werden Modellprozesse als Erklärung herangezogen, beispielsweise Fraktale, Hyperzyklen, neuronale Netze und genetische und evolutionäre Algorithmen. Bei Fraktalen erwecken komplexe Muster den Anschein, es handele sich um komplizierte Systeme; sie lassen sich aber oft auf ganz einfache mathematische Ausdrücke zurückführen. Alle genannten Modellprozesse organisieren sich jedoch nicht spontan zu funktionell organisierten Gebilden, wie es echte Zellen sind. Die Komplexität von Organisation kann nicht aus wenig Information hervorgehen (Abel & Trevors 2005). Es hat keine Erklärungskraft, wenn man die Definition von Leben so stark vereinfacht, dass auch dynamische molekulare oder physikalische Vorgänge als „lebend“ angesehen werden (Spaemann & Löw 2005, S. 211f.). Vereinfachend, aber anschaulich gesagt: Weder ein Pendel noch eine oszillierende chemische Reaktion noch eine spontane Biopolymerisation noch ein Vesikel noch ein Hyperzyklus „lebt“ (siehe Textkasten). Die genannten Vorgänge sind vielleicht notwendige Bedingungen für Leben, aber für sich nicht schon lebendig. Und: Wenn man für die genannten und ähnliche Prozesse und Gebilde verstanden hat, wie sie sich spontan durch Selbstordnung bilden, so hat man das Wesentliche und Wesensverschiedene einer lebenden Zelle nicht einmal berührt.
Es hat keine Erklärungskraft, wenn
man die Definition von Leben so
stark vereinfacht, dass auch
dynamische, molekulare oder
physikalische Vorgänge als
„lebend“ angesehen werden.
Hier sei nochmals auf den Unterschied zwischen dem Sandboden und der Qualle hingewiesen (Abb. 4). Der Sandboden besteht aus komplexen, naturgesetzlich entstandenen, geordneten Strukturen. Auch die Qualle enthält solche selbstgeordneten Strukturen. Damit ist sie aber weder hinsichtlich ihrer biochemisch-materiellen Substanz noch hinsichtlich ihres Verhaltens vollständig charakterisiert. Substanz und Verhalten lassen Organisation erkennen, die nicht aus Ordnung „emaniert“ (hervorgeht), also sozusagen automatisch als höhere Struktur entsteht, sobald eine molekulare Ordnung vorliegt. In der Analogie: Die Bedeutung von Buchstaben als Zeichen emaniert nicht aus ihrer chemischen oder physikalischen Struktur. Im Unterschied zu Ordnung beinhaltet Organisation vorschreibende Information, zum Beispiel die in RNA-Molekülen enthaltene Information für die Synthese von Proteinen. Vorschriften (vorschreibende Information) benötigen nicht zufällige oder naturgesetzlich determinierte Gegebenheiten, sondern gezielt ausgewählte Gegebenheiten.
Entstehung des Lebens: Die Eine-Million-Dollar-Frage
Abel & Trevors (2006b) kommen zu dem Schluss, dass weder selbstordnende noch zufällige Prozesse kybernetische Organisation herstellen können. Sie fordern dazu auf, ihre Schlussfolgerungen zu falsifizieren. Diese Aufforderung steht im Zusammenhang mit einem Preis, den die Origin-of-Life-Stiftung ausgeschrieben hat. Der Preis kann von demjenigen gewonnen werden, der „einen hochplausiblen Mechanismus für die spontane Entstehung genetischer Instruktionen in der Natur vorschlägt“ (http://lifeorigin.info). Der Vorschlag bzw. Mechanismus soll geeignet sein, Leben entstehen zu lassen. Als Preis sind 50.000 US$ pro Jahr über 20 Jahre ausgeschrieben. Weit über 100 auch sehr renommierte Wissenschaftler werden als Gutachter und Juroren genannt. Auf den Webseiten der Stiftung wird ausgeführt, dass der Preis nicht öffentlich in Laienzeitschriften und -medien außerhalb wissenschaftlicher Zeitschriften angekündigt werden soll, da die Stiftung „wünscht, das Projekt so unauffällig („quiet“) wie möglich innerhalb der wissenschaftlichen Gemeinschaft zu halten“.
Dieser Preis ist in gewisser Weise das Gegenteil des Preises, den Louis Pasteur im 19. Jahrhundert errang. Mit einem Zitat aus der 21. Auflage (1998) des Biologie-Schulbuchs „Linder Biologie“ sei an diesen Preis erinnert: „In früheren Zeiten nahm man an, dass Lebewesen auch aus toten Stoffen … durch Urzeugung entstehen könnten. Der Glaube an eine Urzeugung schränkte sich allmählich auf die Welt der Mikroorganismen ein, bis 1862 Louis Pasteur nachwies, dass bei Abtötung der vorhandenen Keime keine Mikroorganismen in Nährflüssigkeiten entstehen. Damit war erwiesen, dass sich gegenwärtig Lebendes nur aus Lebendem bildet: ‚Omne vivum ex vivo.’“ Trotz dieser Aussage setzte das Schulbuch fort: „Für die erstmalige Entstehung der Organismen auf der Erde gilt diese Aussage nicht“ (Bayrhuber & Kull 1998, 411; in der neuesten Auflage 2005 ist die Passage weggefallen). Letztere Behauptung ist eine Glaubensaussage, da nach derzeitigem Stand der Wissenschaft die Erkenntnis gilt, dass sich Lebendes nur aus Lebendem bildet.
Vor dem Hintergrund der wissenschaftlichen Ergebnisse Pasteurs, der Preisausschreibung jetzt und der Beteiligung vieler Fachwissenschaftler als Juroren darf man konstatieren: Im Gegensatz zu vielen öffentlichen Verlautbarungen auch mancher Wissenschaftler liegt eine naturalistische Erklärung der Entstehung des Lebens nicht vor. Im Sinne der Wissenschaftlichkeit wäre es gut, wenn nicht öffentlich etwas anderes behauptet würde und gleichzeitig die Preisausschreibung der Öffentlichkeit möglichst vorenthalten werden soll.
Schlussfolgerungen
Wenn weder Zufall (stochastische Prozesse) noch Notwendigkeit (naturgesetzliche Gegebenheiten) den Ursprung des Lebens erklären, was erklärt ihn dann? Wenn Selbstorganisation keine Erklärung, sondern ein „deus ex machina“ (Wächtershäuser 2001) ist, woher kommt dann die unzweifelhafte Organisation lebender Systeme? Trevors & Abel (2004) konstatieren, dass ganz neue Forschungsansätze benötigt werden. Sie lehnen ausdrücklich Erklärungen ab, die anstelle eines plausiblen Mechanismus’ einfach lange Zeiten postulieren. Letzteres würde der Aussage entsprechen: „Es ist eben passiert“, und kommt für sie einem „blind belief“ („blinden Glauben“) gleich. Wenn sich kein Mechanismus findet, so sollte ihrer Meinung nach die Wissenschaft nochmals überlegen, ob die ungesteuerte Entstehung der genetischen Kybernetik wirklich eine bewiesene Tatsache ist, und sich neuen Forschungsansätzen zuwenden, die derzeit nicht naheliegend sind.
Naturgesetze (Notwendigkeit) und
Zufall erklären die Entstehung von
Texten mit Bedeutung nicht.
Vielmehr wird eine Konvention
erkennbar, also eine
willensgesteuerte Festlegung,
die auch anders sein könnte.
Wie auch immer die Konvention im
einzelnen lautet: Sie kann sich
nicht selbst erfinden.
Voie (2006) meint am Schluss, wir sollten das Leben als ein Axiom betrachten und zitiert Niels Bohr: „Leben stimmt mit Chemie und Physik überein, ist aber von daher nicht entscheidbar.“
Diese mühevollen Überlegungen führen zu einer Erkenntnis, die wir weder verwerfen noch verdrängen oder verwässern möchten: Das Leben ist ein geplantes System. Wir zitieren Blaise Pascal: „Alles Wahrnehmbare zeigt weder völlige Abwesenheit noch eine offenbare Gegenwärtigkeit des Göttlichen, wohl aber die Gegenwart eines Gottes, der sich verbirgt.“ Pascal lebte zu einer anderen Zeit. Aber die Diskussion über eine planende Kraft in der Natur ist nicht überholt. Sie wird zwar heute mit einer viel größeren Detailtiefe geführt als früher. Mit den Details verändern sich aber weder Fragestellung noch mögliche Antworten. Wie ähnlich und die Zeiten überdauernd die Grundfragen sind, mit denen sich Religion und Naturwissenschaft beschäftigen, hat Dixon (2001) in der Zeitschrift Science formuliert: „Die Themen, um die es bei den Diskussionen über Wissenschaft und Religion geht, sind bleibende philosophische und theologische Fragen über Natur, Menschsein, Wissen und Gott; Fragen wie die, ob Menschen von Natur aus böse oder gut sind; was Menschen über Gott und die Natur wissen können; ob sie einen freien Willen haben; ob sie gerettet werden müssen; ob sie sich selbst retten können oder ob sie sich dafür an höhere Mächte wenden müssen.“
Wir persönlich möchten über die Naturwissenschaft als faszinierende Suche nach den Mechanismen des Lebens die Suche nach dem Urheber stellen. Im christlichen Kontext ist es der Schöpfer, der seine Geschöpfe sucht und findet, wenn sie sich finden lassen wollen.
Eine Erklärung, bei der versucht wird, ein Phänomen auf einer höheren Organisationsebene auf Vorgänge einer niedrigeren zurückzuführen. Beispiel: Wenn man versucht, biologische Vorgänge aus physikalischen Gesetzen abzuleiten.
Objekte können identisch oder nicht identisch (nicht kongruent) mit ihrem Spiegelbild sein. Im letzteren Fall sind sie chiral. Das Wort leitet sich vom griechischen Wort für Hand ab; denn Hände weisen genau diese Eigenschaft auf. Sehr viele für Leben essentielle Moleküle kommen in der Natur nur in einer von zwei spiegelbildlichen Formen vor bzw. nur die eine Form ist in einem bestimmten Organismus oder für eine bestimmte Funktion brauchbar. Diese molekulare Asymmetrie der Natur nennt man Homochiralität. Es ist prinzipiell unklar, wie es in einer hypothetischen präbiotischen Welt ohne äußeren Eingriff zu einer Selektion der einen spiegelbildlichen Form gekommen sein kann.
Der Begriff wird in der physikalischen Chemie verwendet. Er benennt Systeme, die nicht im thermodynamischen Gleichgewicht stehen, offen sind und zugleich definierte Strukturen zeigen. Offen meint, dass das System Energie und Stoffe mit der Umgebung austauscht.
Zwei zueinander spiegelbildliche Moleküle heißen Enantiomere, ein 1:1-Gemisch zweier Enantiomere Racemat. Enantiomerenrein bedeutet, dass eine Substanzprobe nur aus dem einen Enantiomeren besteht.
Ein Verfahren, bei dem man schrittweise einen Parameter ändert, um einer Lösung oder einem Ziel näherzukommen.
„Vor dem Leben“, gemeint ist ein hypothetischer Zustand der Erde, bevor sie mit lebendigen Organismen besiedelt war. Hypothetisch ist dieser Zustand im Rahmen der Naturwissenschaft, weil er der Beobachtung entzogen ist.
Proteine in Lebewesen sind Polymere aus alpha-Aminosäuren. Normalerweise sind es ca. 20 verschiedene alpha-Aminosäuren, die Proteine aufbauen, z.B. Alanin, Cystein, Leucin, Tryptophan.
Die Summe aller (bio-)chemischen Stoffwechselvorgänge.
Die Vervielfältigung der DNA bei der Zellteilung.
Transkription ist die „Umschrift“ der DNA in (messenger) RNA; letztere gelangt zum Ribosom, wo die Translation stattfindet, also die „Übersetzung“ in Proteine.
Three subsets of sequence complexity and their relevance to biopolymeric information. Theor. Biol. Med. Model., doi: 10.1186/1742-4682-2-29.
More than metaphor: Genomes are objective sign systems. J. BioSemiotics 1, 253-267.
Self-organization vs. self-ordering events in life-origin models. Physics Life Rev., doi: 10.1016/j.plrev.2006.07.003.
Histone variants – the structure behind the function. Brief Funct. Genomic. Proteomic 5, 228-243.
Linder Biologie. Hannover, 21./22. Auflage.
A synthesis that failed. Science 294, 1467-1468.
Biological information transfer beyond the genetic code: the sugar code. Naturwissenschaften 87, 108-121.
Code-duality and the semiotics of nature. On semiotic modeling. Berlin & New York: Mouton de Gruyter; S. 117–166.
Die fehlenden Spiegelbilder. Stud. Int. J. 13, 14-21.
Evolution – ein kritisches Lehrbuch. 6. Aufl., Gießen.
A statistical examination of self-ordering of amino acids in proteins. Origins Life Evol. Biosphere 18, 135-142.
Der vermessene Kosmos. Holzgerlingen.
Gedanken über die Religion Fr. 556, übersetzt von E. Wasmuth. Frankfurt 1987, Insel-Taschenbuch.
Transcendence and self-transcendence. Soundings 53, 88–94.
Peptides and the origin of life. Peptides 20, 773-786
Natürliche Ziele. Stuttgart.
Brain Circuits and Functions of the Mind. Cambridge (UK).
The mystery of life’s origin: Reassessing current theories. Dallas, TX: Lewis and Stanley.
Biological function and the genetic code are interdependent. Chaos Solitons Fractals 28, 1000-1004.
Die Entstehung des Lebens. In: Winnacker E-L u.a. (Hg.) Unter jedem Stein liegt ein Diamant. Struktur – Dynamik – Evolution. Stuttgart.
Letzte Änderung: 28.01.2009 •