Der Ursprung der Baryonenasymmetrie
Ein ungelöstes Rätsel am Schnittpunkt von Kosmologie und Teilchenphysik
von Peter Trüb
Studium Integrale Journal
13. Jahrgang / Heft 2 - Oktober 2006
Seite 78 - 85
Zusammenfassung: Seit der Entdeckung der Antimaterie in den dreißiger Jahren des zwanzigsten Jahrhunderts wird darüber gerätselt, wie die uns bekannte, ausschließlich aus Materie bestehende Welt entstanden sein könnte. Da sich Materie und Antimaterie grundsätzlich identisch verhalten, ist es nicht klar, weshalb in unserer Umgebung nur Materie, jedoch keine Antimaterie existiert. Zur Lösung dieses Problems wurde vorgeschlagen, daß Materie und Antimaterie in unserem Universum räumlich voneinander getrennt koexistieren. Allerdings konnten bisher keine Hinweise auf größere kosmische Antimaterievorkommen gefunden werden. Nach einem anderen Vorschlag soll durch winzig kleine Unterschiede im Verhalten von Materie und Antimaterie im frühen Universum mehr Materie als Antimaterie entstanden sein. Der größte Teil an Antimaterie und Materie hätte sich in der Folge gegenseitig vernichtet und ein Überschuß an Materie wäre zurückgeblieben. Mit den heute allgemein akzeptierten Standardmodellen der Kosmologie und der Teilchenphysik kann der heute beobachtbare Materieüberschuß jedoch nicht erklärt werden. Dies führt aber keineswegs zur Infragestellung des kosmologischen Standardmodells. Vielmehr wird in weitergehenden, bisher experimentell unbestätigten teilchenphysikalischen Modellen nach möglichen Erklärungen für die beobachtete Asymmetrie zwischen Materie und Antimaterie gesucht. Zum heutigen Zeitpunkt gilt das Problem der bevorzugten Entstehung von Materie gegenüber Antimaterie eindeutig als ungelöst.
Einführung
Zu Beginn des letzten Jahrhunderts hatte sich der atomare Aufbau der Materie als allgemein anerkannte, naturwissenschaftliche Tatsache durchgesetzt. In dieser Zeit, genauer im Jahre 1911, gelang Rutherford mit seinen berühmten Streuversuchen der Nachweis, daß Atome ihrerseits aus noch kleineren Bestandteilen aufgebaut sind (Rutherford 1911). Rutherford beschoß eine Goldfolie mit der von radioaktiven Materialien ausgehenden Strahlung. Dabei erkannte er, daß die Atome aus einem positiv geladenen Atomkern bestehen, umgeben von einer negativ geladenen Elektronenwolke. Mit der Entdeckung des Protons und des Neutrons in den Jahren 1919 und 1931 stellte sich der Atomkern wiederum als aus kleineren Bestandteilen aufgebaute Struktur heraus. Mit diesen drei Teilchen, dem Elektron, dem Proton und dem Neutron, konnte der Aufbau aller Atome erklärt werden.
Mit * gekennzeichnete Begriffe werden im Glossar erklärt
Im gleichen Jahr, in welchem das Neutron erstmals nachgewiesen wurde, sagte der spätere Nobelpreisträger P.A.M. Dirac die Existenz eines neuen Teilchens vorher (Dirac 1931). Durch seine theoretischen Arbeiten, in denen er die Spezielle Relativitätstheorie von Einstein mit der noch jungen Quantentheorie verknüpfte, kam er zum Schluß, daß ein Antielektron existieren müsse. Dieses Antiteilchen sollte die gleiche Masse wie das Elektron besitzen, aber eine entgegengesetzte, also positive, elektrische Ladung tragen. Dieses Antielektron, auch Positron* genannt, konnte bereits ein Jahr später in der kosmischen Strahlung durch Anderson nachgewiesen werden (Anderson 1933). Nach Dirac existiert zu jedem Teilchen ein entsprechendes Antiteilchen. Die Antiteilchen des Protons und des Neutrons wurden allerdings erst über zwanzig Jahre später entdeckt. Teilchen und ihre Antiteilchen besitzen identische Eigenschaften, außer daß alle internen Quantenzahlen, z.B. die elektrische Ladung oder die Baryonenzahl*, das entgegengesetzte Vorzeichen tragen. Eine eindrückliche Bestätigung für die identischen Eigenschaften von Teilchen und Antiteilchen liefert zum Beispiel die Messung des Massenunterschieds zwischen Elektron und Positron. Fee et al. (1993) haben gemessen, daß der Massenunterschied weniger als 8·10–9 Elektronenmassen betragen muß. Bis heute konnten nur in einigen speziellen Experimenten winzige Unterschiede im Verhalten von Teilchen und Antiteilchen nachgewiesen werden (s.u. CP-Verletzung). Eine hypothetische Welt, die anstatt aus Elektronen, Protonen und Neutronen aus Positronen, Antiprotonen und Antineutronen bestünde, würde sich von unserer Welt nicht grundlegend unterscheiden.
Problemstellung
Trifft ein Antiteilchen auf ein Teilchen, so vernichten diese sich gegenseitig. Bei diesem Annihilation genannten Vorgang entstehen neue Teilchen, zum Beispiel Photonen*. Umgekehrt kann aus genügend energiereichen Photonen ein Teilchen-Antiteilchen-Paar entstehen. Antimaterie wird heute routinemäßig an Teilchenbeschleunigern durch Teilchenkollisionen erzeugt und erforscht. Dabei bestätigt sich immer wieder, daß ausnahmslos gleich viele Teilchen wie Antiteilchen entstehen. Diese Tatsache stellt aber ein Problem dar, wenn erklärt werden soll, wieso unsere Umgebung nur aus baryonischer Materie besteht. Materie wird als baryonisch bezeichnet, wenn sie aus Atomen besteht, welche aus den Baryonen Proton und Neutron (plus Elektronen) aufgebaut sind. Das griechische Wort Baryon* bedeutet „schwer“ und bezeichnet Teilchen, welche aus drei Quarks* zusammengesetzt sind. Im Gegensatz dazu besteht antibaryonische Materie aus Atomen, welche Antiprotonen und Antineutronen (plus Positronen) enthalten. Die Tatsache, daß Baryonen und Antibaryonen nach heutigem Wissen immer in gleicher Zahl entstehen, ruft nach einer Erklärung, wie die uns bekannte, rein baryonische Welt entstanden sein könnte. Dies ist die Frage nach dem Ursprung der Baryonenasymmetrie.
Erster Lösungsansatz: Antimaterie-Welten
Grundidee dieses Ansatzes ist, daß sich die beobachtete Baryonendominanz auf unsere nähere kosmische Nachbarschaft beschränkt. Im Universum als Ganzem soll aber die gleiche Anzahl an Baryonen und Antibaryonen existieren. Man stellt sich vor, daß das Universum aus räumlich getrennten Gebieten besteht, in denen jeweils die baryonische oder die antibaryonische Materie überwiegt. Konkret könnte das Universum beispielsweise je zur Hälfte aus baryonischen und antibaryonischen Galaxien bestehen. Die Größe dieser Materie- und Antimateriewelten bleibt dabei grundsätzlich offen.
Glossar
Baryon: Aus drei Quarks zusammengesetztes Elementarteilchen. Beispiele: Neutron, Proton. Baryogenese: Bevorzugte Entstehung von Baryonen gegenüber Antibaryonen. Baryonenzahl: Additive Quantenzahl. Quarks ordnet man die Baryonenzahl +1/3, Antiquarks die Baryonenzahl –1/3 zu. Die Baryonenzahl der Protonen und Neutronen, welche aus drei Quarks zusammengesetzt sind, beträgt somit +1 (die Baryonenzahl von Antiprotonen und Antineutronen ist entsprechend –1). Alle anderen Elementarteilchen besitzen eine verschwindende Baryonenzahl. Die Baryonenzahl bleibt in allen bisher beobachteten Teilchenreaktionen erhalten. Boson: Elementarteilchen mit ganzzahligem Spin. Fermion: Elementarteilchen mit halbzahligem Spin. GeV: Giga-Elektronenvolt. Gebräuchliche Energie- und Masseeinheit in der Teilchenphysik (1 eV = 1.78 · 10–36 kgc2). Händigkeit: Ein Maß für die gegenseitige räumliche Orientierung des Impuls und des Spins eines Fermions. Für ein rechthändiges, masseloses Fermion liegt der Spin parallel zur Impulsrichtung, für ein linkshändiges, masseloses Fermion antiparallel zur Impulsrichtung. Higgs-Boson: Bisher nicht nachgewiesenes Elementarteilchen, durch dessen Wechselwirkung die Elementarteilchen im Standardmodell ihre Masse erhalten. Kaon: Meson, welches aus einem s-Quark sowie einem u- oder d-Quark besteht. Lepton: Fundamentales Fermion, welches nicht der starken Wechselwirkung unterliegt. Zu den Leptonen gehören die Elektronen, Myonen und Taus sowie die entsprechenden Neutrinos. Meson: Aus zwei Quarks aufgebautes Elementarteilchen. Neutrino: Lepton, welches nur der schwachen Wechselwirkung unterliegt. Drei verschiedene Neutrinosorten sind bekannt: Elektron-, Myon-, Tauneutrino. Photon: Austauschteilchen der elektromagnetischen Wechselwirkung („Lichtteilchen“). Pion: Aus u- und d-Quarks bestehendes Meson. Positron: Antiteilchen des Elektrons. Primordiale Nukleosynthese: Entstehung der Elemente (Atomkerne) im frühen Universum. Quark: Stark wechselwirkendes, fundamentales Fermion. Baustein der Mesonen und Baryonen. Bisher sind folgende Quarktypen bekannt: u (up), d (down), c (charm), s (strange), t (top), b (bottom). Spin: Interner Drehimpuls eines Elementarteilchens.

Abb. 1: Obere Grenzen für den Anteil an Antihelium in der kosmischen Strahlung. Die Linien (a) – (e) geben die Resultate bereits durchgeführter Experimente wieder, gestrichelte Linien zeigen die erwartete Sensitivität geplanter Experimente an (Stand 2004). Die Rigidität ist ein Maß für den Impuls eines Teilchens (Casadei 2004).
Nachweismöglichkeiten kosmischer Antimaterie (für eine aktuelle Übersicht siehe Casadei [2004a])
Direkte Nachweismöglichkeiten. Sollten im Universum Sterne oder ganze Galaxien aus Antimaterie existieren, so würden diese kosmische Strahlen aus Antimaterie aussenden, welche nach einer langen Reise bis zur Erde gelangen könnten. Deshalb wird die auf der Erde eintreffende kosmische Strahlung genauestens darauf untersucht, ob darin allenfalls geringe Anteile an Antimaterieteilchen enthalten sind. Dabei wird nach verschiedenen Antiteilchen gesucht, welche Hinweise auf unterschiedliche Antimaterieansammlungen sein könnten:
Antiprotonen und Positronen. Der Hauptanteil kosmischer Strahlung besteht aus Protonen. Deshalb ist es naheliegend, zuerst nach deren Antiteilchen, den Antiprotonen zu suchen. Tatsächlich werden sowohl Antiprotonen als auch Positronen in der kosmischen Strahlung nachgewiesen. Nun ist es aber so, daß diese Antiteilchen auch durch Reaktionen von Materieteilchen der kosmischen Strahlung mit interstellarer Materie erzeugt werden können. Tatsächlich sind die gemessenen Häufigkeiten konsistent mit der Anzahl Positronen und Antiprotonen, die man aufgrund dieser sekundären Produktionsmechanismen erwartet. Deshalb können die gefundenen Antiteilchen nicht als Hinweis auf größere Ansammlungen von Antimaterie im Universum angesehen werden.
Antihelium: Im Standardmodell der Kosmologie wird das heute existierende Helium zum weitaus größten Teil auf die primordiale Nukleosynthese* zurückgeführt. Nur ein kleiner Teil gilt als Syntheseprodukt der in den Sternen ablaufenden Kernreaktionen. Deshalb würde das Vorhandensein von Antihelium in kosmischer Strahlung als Hinweis auf die Existenz von Antimaterie im frühen Universum gedeutet. Bisherige Nachweisexperimente konnten jedoch keine Antihelium-Teilchen ausfindig machen. Die obere Grenze für das Verhältnis von Antihelium zu Helium in der kosmischen Strahlung liegt momentan bei N(Antihelium)/ N(Helium) < 6,8·10–7 (Sasaki 2002, siehe Abb. 1).
Schwere Antikerne: Auch nach schwereren Antikernen mit mehr als zwei Protonen wird in der kosmischen Strahlung gesucht. Wie im Fall des Antiheliums verliefen alle bisherigen Nachweisversuche negativ. Ein positives Resultat würde als Hinweis auf die Existenz von Antisternen gewertet, da diese Kerne im Gegensatz zu Helium größtenteils in Sternen, aber kaum während der primordialen Nukleosynthese produziert worden wären.

Abb. 2: Pamela ist ein Experiment, welches die kosmische Strahlung im nahen Weltraum untersucht. Der abgebildete Teilchendetektor wurde im Juni 2006 als Teil eines Satelliten erfolgreich ins All geschossen. Er soll mit bisher unerreichter Sensitivität nach Antimaterie in der kosmischen Strahlung suchen (vgl. Abb. 1). (http://wizard.roma2.infn.it/pamela/)
Ein aktuelles Experiment zur Suche nach Antimaterie in der kosmischen Strahlung trägt den Namen Pamela. Der im nahen Weltraum stationierte Teilchendetektor analysiert die eintreffende Strahlung auf Ladung, Impuls und Energie (siehe Abb. 2). Der Nachteil solcher direkter Nachweisversuche besteht darin, daß damit kaum sehr weit entfernte Antimaterievorkommen nachgewiesen werden können. Antimateriewelten auf sehr großen Skalen können über diese Methoden nicht ausgeschlossen werden.
Indirekte Nachweismöglichkeiten. Zusätzlich zu den direkten Nachweismethoden gibt es mehrere Möglichkeiten, mit denen man größere, kosmologische Antimaterievorkommen nachzuweisen versucht. Zwei davon sollen hier angesprochen werden. Die Idee hinter beiden Nachweismethoden ist, daß in den Grenzregionen, in welchen Materie- und Antimateriewelten aufeinander treffen, zwangsläufig charakteristische Annihilationsprozesse ablaufen müssen. Treffen in den Grenzgebieten Kerne und Antikerne aufeinander, so vernichten sich diese gegenseitig. Die dabei entstehenden Pionen* zerfallen ihrerseits in hochenergetische Photonen und Elektronen, welche zwei beobachtbare Signale verursachen können:
Da beide Effekte umso größer sind, je kleiner der Radius der Antimateriewelten ist, können durch Messungen der kosmischen Hintergrundstrahlung und der diffusen, kosmologischen Gammastrahlung untere Grenzen für die Größe der Antimateriewelten gesetzt werden. Cohen et al. berechnen die zu erwartenden Signalstärken im Rahmen des kosmologischen Standardmodells (Cohen 1998). Sie kommen zum Schluß, daß vor allem die Messung der diffusen kosmologischen Gammastrahlung klare Grenzen an die Größe möglicher Antimateriewelten setzt. Demzufolge müßten mögliche Antimateriewelten so groß wie das für uns beobachtbare Universum sein, um nicht in Konflikt mit der gemessenen Gammastrahlung zu stehen. Damit schließen die Autoren die Möglichkeit eines Universums mit gleich vielen Baryonen wie Antibaryonen praktisch aus.
Zweiter Lösungsansatz: Bevorzugte Entstehung von Baryonen im frühen Universum
(für eine Einführung siehe Bernreuther [2002]) 
Tab. 1: Zeitliche Abfolge einiger wichtiger Ereignisse im kosmologischen Standardmodell mit ungefähren Zeitangaben.
Neben der Vorstellung von Antimateriewelten, welche zunehmend als unwahrscheinlich angesehen wird, existieren weitere Ansätze zur Erklärung der beobachteten Baryonenasymmetrie. Die Möglichkeit, daß schon immer ein gewisser Überschuß an baryonischer Materie existierte, ist inkompatibel mit kosmologischen Modellen, welche eine Periode inflationärer Ausdehnung des Universums beinhalten (Dolgov 2005; vgl. Tab. 1). Eine solche Periode, während derer sich das Universum exponentiell ausdehnt, soll unmittelbar nach dem Urknall stattgefunden haben. Voraussetzung für eine solche Ausdehnung ist, daß trotz des immensen Volumenzuwachses die Energiedichte konstant bleibt. Nimmt man an, daß die Baryonenasymmetrie schon während der Inflation existierte und denkt sich die Inflationsphase rückwärts ablaufend, so stellt man fest, daß die für die Baryonenasymmetrie verantwortliche Masse (deren Energiedichte rückwärts in der Zeit zunimmt) sehr bald die Energiedichte dominieren würde. Vor dieser Zeit wäre die Energiedichte nicht konstant gewesen, d.h. das Universum hätte sich nicht inflationär ausgedehnt. Die Zeit, welche für eine inflationäre Ausdehnung zur Verfügung gestanden hätte, wäre zu kurz, um mit den aktuellen kosmologischen Modellen kompatibel zu sein. Daraus wird gefolgert, daß die Baryonenasymmetrie nach der inflationären Phase entstanden sein muß. Deshalb wird nach Möglichkeiten gesucht, wie die heutige Baryonenasymmetrie dynamisch aus einem Zustand mit gleich vielen Baryonen und Antibaryonen entstanden sein könnte.

Abb. 3: Vorhersagen der primordialen Nukleosynthese für die Häufigkeiten von 4He, D, 3He und Li als Funktion der kosmischen Baryondichte h10. Die Kästchen geben die beobachteten Häufigkeiten wieder (die kleinen Kästchen berücksichtigen nur den statistischen, die großen auch den systematischen Fehler der Messungen). Der vertikale Balken gibt den aus der kosmischen Hintergrundstrahlung (CMB) extrahierten Wert von h10 wieder (Fields 2004).
Es genügt allerdings nicht, einen möglichen Mechanismus für die Baryogenese* zu finden. Zusätzlich muß auch die Anzahl der heute im Universum vorhandenen Baryonen korrekt erklärt werden. Diese wird durch das Verhältnis der Anzahl Baryonen zur Anzahl Photonen quantifiziert:

wobei nB und n γ die Anzahl Baryonen bzw. Photonen pro Einheitsvolumen bezeichnen. Da der Wert von η in der Größenordnung von 10–10 liegt, wird der Einfachheit halber oft η10 verwendet. Den Wert von η erhält man, indem η10 mit 10–10 multipliziert wird. Die Größe von η (bzw. von η10) kann sowohl aus den gemessenen Häufigkeiten leichter Elemente im Universum (Fields 2004) als auch aus dem Spektrum der kosmischen Hintergrundstrahlung (Kosowsky 1996) bestimmt werden. Zu beachten ist, daß beide Varianten der Bestimmung von η das kosmologische Standardmodell als korrekte Beschreibung der Geschichte des Universums voraussetzen. Abb. 3 zeigt Vorhersagen der primordialen Nukleosynthese für die Häufigkeit einiger leichter Elemente als Funktion von η10. Durch Vergleich mit Messungen der Häufigkeiten dieser Elemente wird ein Wert für η10 bestimmt. Die Kombination der Resultate für verschiedene Elemente ergibt recht gute Übereinstimmung (Fields 2004) für 3,4 < η10 < 6,9. Zukünftige genauere Bestimmungen der Häufigkeiten leichter Elemente könnten allerdings zu widersprüchlichen Werten von η10 führen. Der vertikale Balken zeigt den aus der kosmischen Hintergrundstrahlung bestimmten Wert für η10 = 6,14 (Spergel 2003). Ein plausibles Szenario zur Entstehung der Baryonenasymmetrie muß die Größenordnung von η korrekt erklären können.
Die drei Bedingungen Sakharovs
Wie könnte die beobachtete Asymmetrie dynamisch entstanden sein? Diese Frage stellte sich vor vierzig Jahren auch der russische Physiker Sakharov. In einem berühmt gewordenen Artikel gibt er drei Bedingungen an, die erfüllt sein müssen, damit aus einem ursprünglichen Zustand mit gleich viel Baryonen und Antibaryonen ein Zustand mit einem Überschuß an baryonischer Materie entstehen kann (Sakharov 1967):
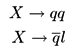
Die erste Bedingung ist relativ einfach zu verstehen: Es müssen teilchenphysikalische Prozesse existieren, durch welche die Anzahl Baryonen erhöht wird. Als Beispiel (Dolgov 1997) betrachte man ein schweres, nichtbaryonisches Teilchen X, welches in zwei Quarks q oder in ein Antiquark q ein Lepton* l zerfallen kann:

Beide Zerfälle erfüllen offensichtlich die erste Bedingung von Sakharov: Die Baryonenzahl ändert sich in beiden Fällen. Da Quarks (Antiquarks) die Baryonenzahl 1/3 (–1/3) und Leptonen die Baryonenzahl 0 tragen, erhöht sich im ersten Fall die Baryonenzahl um ΔB = 2/3, im zweiten Fall erniedrigt sie sich um ΔB = –1/3. Wenn beide Zerfälle gleich häufig vorkommen, so erhöht sich insgesamt die Anzahl Baryonen.
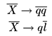
Dies genügt allerdings noch nicht, um eine Baryonenasymmetrie zu erzeugen. Zusätzlich müssen auch die C- und die CP-Symmetrie (siehe Kasten: Diskrete Transformationen in der Teilchenphysik) verletzt sein, d.h. es muß Unterschiede im Verhalten von Teilchen und Antiteilchen geben. Das ist die zweite Bedingung von Sakharov. Wäre eine dieser Symmetrien erhalten, dann wären die Zerfälle des Anti-X Teilchens X in zwei Antiquarks q und in ein Quark q und ein Antilepton l

gleich wahrscheinlich wie die oben erwähnten Zerfälle. Ausgehend von einem symmetrischen Zustand mit gleich vielen X wie X bleibt die Baryonenzahl trotz Baryonenzahlverletzung konstant.
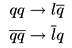
Damit aber noch nicht genug. Eine weitere, dritte Bedingung gilt es zu erfüllen: Es müssen Abweichungen vom thermodynamischen Gleichgewicht auftreten. Befänden sich in unserem obigen Beispiel die Teilchensorten X, q und l im thermodynamischen Gleichgewicht, so würden die Reaktionen

eine vorhandene Asymmetrie sofort wieder rückgängig machen. Bei einer Abweichung vom thermodynamischen Gleichgewicht laufen diese Reaktionen allerdings viel langsamer ab als die Zerfälle des X-Teilchens, die Baryonenzahl kann also insgesamt zunehmen.
Entstehung der Baryonenasymmetrie im Standardmodell der Teilchenphysik

Aus diesen Transformationen können weitere, zusammengesetzte Transformationen gebildet werden. Beispielsweise gehen unter der kombinierten CP-Transformation linkshändige Teilchen in rechtshändige Antiteilchen über. Daß eine Wechselwirkung bezüglich einer Transformation symmetrisch ist, bedeutet, daß sich die Wechselwirkung durch das Anwenden dieser Transformation nicht ändert. 
Als erstes soll untersucht werden, ob das Standardmodell der Teilchenphysik (im folgenden kurz das Standardmodell genannt) die Bedingungen von Sakharov erfüllt. Das Standardmodell der Teilchenphysik ist zur Zeit die mit Abstand beste Beschreibung der fundamentalen Wechselwirkungen der Elementarteilchen (siehe Kasten: Fundamentale Wechselwirkungen und ihre Austauschteilchen) und ist in den letzten Jahren vielfach experimentell bestätigt worden.
Daß das Standardmodell die zweite Bedingung Sakharovs erfüllt, ist seit längerem bekannt. Sowohl die Verletzung der C- als auch der CP-Symmetrie konnten experimentell nachgewiesen werden. Seit längerem ist bekannt, daß die geladenen Austauschteilchen der schwachen Wechselwirkung, die sogenannten W-Bosonen*, nur an linkshändige* Fermionen* und rechtshändige Antifermionen koppeln. Die C-Symmetrie würde verlangen, daß die Austauschteilchen gleichermaßen an rechtshändige Fermionen und rechtshändige Antifermionen koppeln. Dies ist aber offensichtlich nicht der Fall.
Reaktionen, welche durch die geladenen W-Bosonen vermittelt werden, verletzen also immer die C-Symmetrie. Sakharov verlangt, daß auch die CP-Symmetrie verletzt sein muß. Diese Symmetrie besagt, daß sich linkshändige Teilchen und rechtshändige Antiteilchen identisch verhalten. Dies ist für die oben beschriebenen elektroschwachen Wechselwirkungen auch der Fall. Im Jahre 1964 wurde zum ersten Mal ein Prozeß entdeckt, welcher die CP-Symmetrie verletzt (Cronin 1964). Langlebige Kaonen* (KL) können in ein positiv geladenes Pion ( π), ein Elektron und ein Antielektronneutrino* zerfallen:

Der CP-symmetrische Zerfall

in ein negativ geladenenes Pion, ein Positron und ein Elektronneutrino sollte bei gegebener CP-Symmetrie gleich wahrscheinlich sein. Erstaunlicherweise ist der erstere Zerfall jedoch um 0,3% häufiger als der zweite und damit ist die CP-Symmetrie nicht exakt erfüllt. Seither wurden CP-Verletzungen auch in einigen weiteren Reaktionen beobachtet (Aubert 2002). Alle bisherigen Messungen können konsistent durch das Standardmodell erklärt werden, welches diese Verletzungen der CP-Symmetrie auf eine gemeinsame Ursache zurückführt.
Wenden wir uns nun der Frage zu, ob es innerhalb des Standardmodells Prozesse gibt, welche die Baryonenzahl verletzen. Viele Physiker würden diese Frage verneinen. Im Standardmodell existiert sogar eine Symmetrie, welche die Erhaltung der Baryonenzahl sichert. Doch vor etwa dreißig Jahren wurde entdeckt, daß auch im Standardmodell die Möglichkeit für baryonenzahlverletzende Prozesse besteht. Die oben erwähnte Symmetrie, welche die Erhaltung der Baryonenzahl verlangt, ist nämlich nur auf klassischem Niveau gültig. Bei der Quantisierung der Theorie zerstört jedoch eine Anomalie diese Symmetrie. Deshalb ist es auch im Standardmodell grundsätzlich möglich, daß Baryonenzahl verletzende Prozesse auftreten (‘t Hooft 1976). Beispielsweise ist folgender Prozeß, welcher die Baryonenzahl um ΔB = 3 verletzt, im Standardmodell erlaubt:

Baryonenzahlverletzende Reaktionen wurden jedoch bis heute nie beobachtet. Dies ist innerhalb des Standardmodells allerdings keine Überraschung, da erwartet wird, daß solche Prozesse nur bei sehr hohen Energien (bzw. Temperaturen) auftreten.
Nun fehlt nur noch die dritte Bedingung Sakharovs. Die Entscheidung, ob auch diese Bedingung erfüllt ist, kann nicht alleine aufgrund des Standardmodells der Teilchenphysik entschieden werden. Dazu muß zusätzlich von einem konkreten kosmologischen Modell, in unserem Fall dem kosmologischen Standardmodell, ausgegangen werden. Erst dann kann eine klare Beurteilung gewonnen werden. Im kosmologischen Standardmodell werden Abweichungen vom thermodynamischen Gleichgewicht durch die Ausdehnung des Universums hervorgerufen. Wenn diese Expansion schneller abläuft als die Teilchenreaktionen, welche eine allfällige Baryonenasymmetrie wieder zunichte machen, kann eine nichtverschwindende Baryonenzahl erzeugt werden. Verschiedene Gründe verlangen nun, daß unter Annahme des Standardmodells der Teilchenphysik die Baryonenasymmetrie nur während des elektroschwachen Phasenübergangs entstanden sein kann (Bernreuther 2002). Bei diesem Phasenübergang, welcher im frühen Universum bei einer Temperatur von 1015 K stattgefunden haben müßte, soll das Universum von einem Zustand, in welchem alle Quarks und Leptonen masselos waren, in einen Zustand mit massiven Quarks und Leptonen übergegangen sein. Damit die erforderliche Baryonenasymmetrie entstanden sein kann, muß dieser Phasenübergang stark genug gewesen sein. Die Stärke des elektroschwachen Phasenübergangs kann durch die Masse des Higgs-Bosons* quantifiziert werden. Analytische Rechnungen sowie numerische Simulationen verlangen, daß dessen Masse kleiner als 72 GeV* sein muß, um die beobachtete Baryonenasymmetrie zu erzeugen (Rummukainen 1998). Die Suche nach einem leichten Higgs-Boson am LEP2, einem ehemaligen Beschleuniger am CERN, verlief allerdings erfolglos. Diese Resultate verlangen, daß das Higgs-Teilchen schwerer als 114,4 GeV sein muß (Barate 2003). Damit ist das Unternehmen, den Ursprung der Baryonenasymmetrie durch die Standardmodelle der Kosmologie und der Teilchenphysik zu erklären, gescheitert.
Entstehung der Baryonenasymmetrie in Erweiterungen des Standardmodells
Gibt es nun Möglichkeiten, dieses negative Fazit zu umgehen? Der am häufigsten gewählte Ausweg besteht darin, anstatt vom Standardmodell der Teilchenphysik von anderen teilchenphysikalischen Modellen auszugehen. Vor der Betrachtung einiger solcher alternativer Modelle soll kurz auf die aktuelle Relevanz des Standardmodells eingegangen werden. In den letzten Jahrzehnten hat sich dieses als sehr erfolgreich herausgestellt. Bis heute ist bis auf eine einzige Ausnahme keine Beobachtung bekannt, welche nicht durch das Standardmodell beschrieben werden könnte. Einzig die Tatsache, daß sich die verschiedenen Neutrinos ineinander umwandeln können, widerspricht dem Standardmodell. Durch die problemlose Zulassung rechtshändiger Neutrinos im Standardmodell kann auch diese Beobachtung erklärt werden. Allerdings konnten wichtige Vorhersagen des Standardmodells aufgrund mangelnder experimenteller Möglichkeiten bisher nicht getestet werden. Bekanntestes Beispiel dafür ist die Vorhersage der Existenz des Higgs-Bosons, nach welchem immer noch eifrig gesucht wird. Damit ist aber auch das Konzept des oben erwähnten elektroschwachen Phasenübergangs nicht verifiziert. Neben diesen (noch) offenen Fragen gibt es auch theoretische Gründe dafür, daß das Standardmodell keine endgültige Beschreibung der Hochenergiephysik sein kann. Bei extrem hohen Energien wird das Modell inkonsistent und muß durch andere Theorien ersetzt werden. Hier liegt der Ansatzpunkt alternativer Modelle. Diese versuchen, das Verhalten der Elementarteilchen auch bei sehr hohen Energien korrekt zu beschreiben, immer unter Berücksichtigung aller bisherigen Meßresultate bei niedriger Energie. Zwei solche Modelle sollen nachfolgend kurz bezüglich ihrer Möglichkeiten bezüglich der Baryogenese betrachtet werden. Viele weitere Modelle werden momentan diskutiert, z.B. der Affleck-Dine Mechanismus (Affleck 1985) oder die Lepto-Baryogenese (Fukugita 1986), nach welcher zuerst eine Leptonenasymmetrie entstand, welche dann beim elektroschwachen Phasenübergang in eine Baryonenasymmetrie verwandelt wurde.

Abb. 4: Der Large Hadron Collider, welcher momentan am CERN gebaut wird, soll 2007 in Betrieb genommen werden. Aus der Analyse der Teilchenkollisionen erhofft man sich Hinweise auf physikalische Vorgänge jenseits des Standardmodells, z.B. auf supersymmetrische Phänomene, welche Hinweise auf die Entstehung der Baryonenasymmetrie liefern könnten. In der Abbildung ersichtlich die von supraleitenden Magneten umgebenen Strahlrohre. (http://doc.cern.ch)
Entstehung der Baryonenasymmetrie in supersymmetrischen Modellen. Grundannahme supersymmetrischer Modelle ist, daß eine Symmetrie zwischen Fermionen und Bosonen existiert (Wess 1974). Das heißt konkret, daß zu jedem Fermion des Standardmodells ein supersymmetrisches bosonisches Partnerteilchen und zu jedem Boson ein supersymmetrisches fermionisches Partnerteilchen existiert. Da solche supersymmetrische Teilchen bislang nicht beobachtet wurden, müssen ihre Massen viel größer als die der entsprechenden Teilchen des Standardmodells sein. Durch diese Symmetrie zwischen Fermionen und Bosonen können einige wichtige Probleme des Standardmodells gelöst werden. Supersymmetrische Theorien haben in der Regel sehr viele freie Parameter. Selbst das sogenannte Minimale Supersymmetrische Standardmodell besitzt etwas mehr als hundert freie Parameter. Dadurch und durch die größere Anzahl an Elementarteilchen ergeben sich viele neue Möglichkeiten für CP-verletzende Prozesse. Auch für den Prozeß der elektroschwachen Symmetriebrechung ergeben sich neue Möglichkeiten. In gewissen Teilen des Parameterraums ist es daher möglich, daß der Phasenübergang stark genug zur Erzeugung der beobachteten Baryonenasymmetrie ist. Bisher gibt es keine experimentellen Hinweise auf die Existenz supersymmetrischer Teilchen. Die Hoffnung besteht jedoch, daß an zukünftigen Beschleunigern wie dem LHC (Abb. 4) Hinweise auf diese gefunden werden können.
Entstehung der Baryonenasymmetrie in großvereinheitlichten Theorien. Weitere mögliche Erweiterungen des Standardmodells, welche die Entstehung der Baryonenasymmetrie erklären könnten, sind die großvereinheitlichten Theorien (grand unified theories, abgekürzt: GUT). Diese Theorien versuchen, die Kräfte der elektromagnetischen, der schwachen sowie der starken Wechselwirkung auf eine gemeinsame Ursache zurückzuführen (Georgi 1974). Solche Modelle beinhalten zwangsläufig baryonenzahlverletzende Prozesse. Beispiele dafür sind die Zerfälle schwerer Austauschteilchen oder Neutrinos. Durch solche Zerfälle könnte im frühen Universum eine Netto-Baryonenzahl entstanden sein. Der Nachteil dieser Theorien besteht darin, daß es keine Hoffnung gibt, sie in naher Zukunft experimentell überprüfen zu können. Dafür sind die heutigen experimentellen Möglichkeiten viel zu bescheiden.
Zusammenfassung
Seit der Entdeckung der Antimaterie wird darüber gerätselt, wie unsere ausschließlich aus Materie aufgebaute Welt entstanden sein könnte. Die experimentelle Tatsache, daß Baryonen und Antibaryonen immer in gleicher Zahl entstehen, stellt dabei das zu überwindende Hindernis dar.
Der erste vorgestellte Lösungsansatz postuliert, daß die Dominanz der Materie über die Antimaterie sich auf unsere kosmische Nachbarschaft und weitere möglicherweise existierende Materiewelten beschränkt. Parallel dazu sollen in anderen Gebieten des Universums Welten existieren, welche aus Antimaterie aufgebaut sind. Hinweise auf deren Existenz könnten Antiteilchen sein, welche mit der kosmischen Strahlung bis zur Erde gelangen. Solche Teilchen wurden allerdings bisher nicht gefunden oder deren Vorkommen ist durch die Wechselwirkung der kosmischen (Materie-) Strahlung mit interstellarer Materie erklärbar. Des weiteren sollte durch die in den Grenzregionen ablaufenden Annihilationsprozesse nachweisbare Strahlung entstehen. Die gemessene Stärke der diffusen, kosmischen Gammastrahlung setzt im Rahmen des kosmologischen Standardmodells eine untere Grenze an die Größe möglicher Antimateriewelten. Nach Cohen (1998) müßten solche Antimateriewelten größer sein als das heute beobachtbare Universum.
In einem zweiten Teil wurde die Möglichkeit erörtert, daß die Abwesenheit antibaryonischer Materie durch baryonenzahlverletzende Reaktionen im frühen Universum erklärt werden könnte. Quantitative Berechnungen zeigen allerdings, daß im Rahmen der Standardmodelle der Teilchenphysik und der Kosmologie die beobachtete Asymmetrie nicht erklärt werden kann. Erweiterte teilchenphysikalische Modelle bilden allenfalls eine Basis, um diese zu deuten. Solche Theorien besitzen bisher allerdings reinen Modellcharakter. Die Hoffnung besteht, daß einige dieser Theorien in den nächsten Jahr(zehnt)en experimentell getestet werden können.
Fazit
Trotz mannigfaltiger Bemühungen gilt das Problem der Entstehung der Baryonenasymmetrie als ungelöst. Dies ist nicht zuletzt an der großen Anzahl wissenschaftlicher Artikel zu erkennen, welche jedes Jahr zu diesem Thema veröffentlicht werden. Daß die aktuellen Standardmodelle der Kosmologie sowie der Teilchenphysik die beobachtete Materiedominanz nicht erklären können, wird allgemein akzeptiert. Dies führt jedoch keineswegs dazu, daß das kosmologische Standardmodell hinterfragt würde. Vielmehr wird das Unvermögen auf unsere Unkenntnis der teilchenphysikalischen Prozesse bei extrem hohen Energien, wie sie im frühen Universum geherrscht haben sollen, zurückgeführt. Die Tatsache, daß über die Physik bei solch extremen Bedingungen praktisch nichts bekannt ist, kann keineswegs abgestritten werden. In alternativen kosmologischen Modellen ohne Urknall würde diese Unkenntnis jedoch keine Rolle mehr spielen. Aus Sicht der biblischen Schöpfungslehre deutet das Versagen der beiden Standardmodelle eher auf eine weitere Schwäche rein naturalistischer Ursprungsmodelle hin.
Aufgrund unseres heutigen Wissens ist irgendeine Form von Leben in einer baryonensymmetrischen Umgebung überhaupt nicht vorstellbar. Deshalb ist es naheliegend, die beobachtete Baryonenasymmetrie als erschaffene Anfangsbedingung zu betrachten. Dies impliziert jedoch keineswegs, daß ein möglicher Nachweis größerer Mengen kosmischer Antimaterie die biblische Schöpfungslehre in Frage stellen würde. Biblisch begründete Schöpfungsmodelle sind hinsichtlich einer solchen Möglichkeit völlig offen, da der Bibel bezüglich dieser Fragestellung keine Anhaltspunkte zu entnehmen sind.

Tab. 2: Parallelen zwischen der Baryogenese und der Entstehung enantiomerenreiner Aminosäuren in der präbiotischen Chemie.
Das Problem der Baryogenese besitzt einige auffallende Parallelen zum Problem der Entstehung enantiomerenreiner Aminosäuren in der präbiotischen Chemie (Imming 2006; Tab. 2). In beiden Fällen verhält sich die Natur bezüglich zweier symmetrischer Zustände grundsätzlich identisch, und trotzdem kommt in der Schöpfung nur einer der beiden Zustände vor. Das symmetrische Auftreten beider Zustände würde die Existenz biologischen Lebens in der uns bekannten Form verunmöglichen. Ein Unterschied zwischen den beiden Beispielen besteht darin, daß es in der Chemie unter Einsatz von geeigneten Hilfsmitteln möglich ist, reine Enantiomere herzustellen, wohingegen eine bevorzugte Produktion an Baryonen bisher nie beobachtet werden konnte. Die Herausforderung für rein naturalistische Ursprungsmodelle besteht darin, erklären zu müssen, wie trotz symmetrischer Naturgesetze die heute auftretende, lebensnotwendige Asymmetrie bezüglich der beiden Zustände entstanden ist. Für beide oben genannten Beispiele gilt diese Herausforderung als unbewältigt.
A New Mechanism For Baryogenesis. Nucl. Phys. B 249, 361-380.
The Positive Electron. Phys. Rev. 43, 491-494.
Measurement of the CP-violating asymmetry amplitude sin(2ß). Phys. Rev. Lett. 89, 201802.
Search for the standard model Higgs boson at LEP Phys. Lett. B 565, 61-75.
CP violation and baryogenesis. Lect. Notes Phys. 591, 237-293.
Cosmic ray astrophysics with AMS-02. arXiv:astro-ph/0404529.
Searches for Cosmic Antimatter. arXiv:astro-ph/0405417.
A matter-antimatter universe? Astrophys. J. 495, 539-549.
Evidence For The 2 Pi Decay Of The K(2)0 Meson. Phys. Rev. Lett. 13, 138-140.
Quantised Singularities In The Electromagnetic Field. Proc. Roy. Soc. Lond. A 133, 60-72.
CP violation in cosmology. arXiv:hep-ph/0511213.
Baryogenesis, 30 years after. arXiv:hep-ph/9707419.
Measurement of the positronium 1 3S1 – 2 3S1 interval by continuous-wave two-photon excitation. Phys. Rev. A 48, 192-219.
Big-Bang nucleosynthesis. Phys. Lett. B 592, 202-205.
Baryogenesis Without Grand Unification. Phys. Lett. B 174, 45-47.
Unity Of All Elementary Particle Forces. Phys. Rev. Lett. 32, 438-441.
Die fehlenden Spiegelbilder. Stud. Int. J. 13, 12-17.
Neutrino Mass, Mixing, and Flavor Change. Phys. Lett. B 592, 145-153.
Determining cosmological parameters from the microwave background. Nucl. Phys. Proc. Suppl. B 51, 49-53.
The universality class of the electroweak theory. Nucl. Phys. B 532, 283-314.
The Scattering of a and b Particles by Matter and the Structure of the Atom, Phil. Mag., Series 6, 21, 669-688.
Violation Of CP Invariance, C Asymmetry, And Baryon Asymmetry Of The Universe. JETP Lett. 5, 24-27.
Progress in search for antihelium with BESS. Nucl. Phys. Proc. Suppl. 113, 202-207.
First Year Wilkinson Microwave Anisotropy Probe (WMAP) Observations: Determination of Cosmological Parameters. Astrophys. J. Suppl. 148, 175-194.
Symmetry Breaking through Bell-Jackiw Anomalies. Phys. Rev. Lett. 37, 8-11.
Supergauge Transformations In Four Dimensions. Nucl. Phys. B 70, 39-50.
Letzte Änderung: 28.01.2009 •