„RNA-Welt“
Chemisches Missing Link zwischen Ursuppe und ersten Zellen?
von Kurt Weindel
Studium Integrale Journal
8. Jahrgang / Heft 2 - Oktober 2001
Seite 72 - 80
Zusammenfassung:In den letzten 1-2 Jahrzehnten erregten Überlegungen zu einer "RNA-Welt" (ein chemisches Milieu, dominiert von zur Katalyse befähigten RNA-Molekülen) großes Interesse. Katalytische RNA hätte die potentielle Fähigkeit, sich selbst und andere wichtige Biomoleküle zu synthetisieren, und die notwendige Information in Gestalt ein und desselben Moleküls zu speichern und umzusetzen. Damit würde sie eine wichtige Brücke darstellen zwischen chemischer Evolution (Moleküle) und beginnender biologischer Evolution (lebende Zellen, Organismen). Im selben Zeitraum fielen jedoch eine Vielzahl von Daten an, die deutlich machen, daß für eine zufällige, ungesteuerte Entstehung von RNA-Molekülen die chemische Basis fehlt. Ungenügende Stabilität unverzichtbarer Bestandteile, extrem hohe stereo- und struktur-chemische Hürden, Bedarf an reinen Ausgangsstoffen in sehr hoher Konzentration, und in Ursuppenexperimenten anfallende Produktmischungen, die einer ungelenkten Polymersynthese fundamental entgegenstehen, stellen die Plausibilität einer "RNA-Welt" grundlegend in Frage.
• • • • • • • • • • •
Einleitung
Grundlegende Vorgänge in lebenden Zellen sind Informationsspeicherung und Stoffwechsel (Informationstransfer). Sie werden durch verschiedene Moleküle vermittelt: ersteres durch DNA, letzteres im wesentlichen durch Proteine. Proteine werden benötigt, um DNA zu synthetisieren; die DNA wiederum liefert die Information zur Synthese dieser Proteine. Beide Stoffgruppen hängen also voneinander ab (molekulares "Henne-Ei-Problem"); beide werden in lebenden Zellen heute gleichzeitig benötigt.
Während der vergangenen 20 Jahre spielten Überlegungen über eine "RNA-Welt" als eine frühe Entwicklungsstufe hin zu biologischem Leben eine herausragende Rolle. In der RNA-Welt sollen RNA-Moleküle (Abb. 1) beide o. g. Funktionen erfüllt haben: sowohl die Funktion der Informationsspeicherung als auch die des Informationstransfers (Katalyse). Damit soll das molekulare Henne-Ei-Problem gelöst werden: "Henne" und "Ei" sind in einem einzigen Molekül vereint.

Abb. 1: DNA-/RNA-Polymerketten (Ausschnitte), Rückgrat = Polyester-Strang (genauer: Polyphosphodiester) mit 5'-3'-Polarität.
So gesehen könnte die RNA-Welt ein wichtiges Durchgangssta-dium zwischen chemischer Ursuppe und ersten "lebenden" Zellen mit katalysegesteuertem Stoff-/Energie-haushalt gewesen sein. Erst später soll es dann zu einer Aufgabentrennung bei den informations-relevanten Makro-molekülen in Speicher- und Botenmoleküle (Nucleinsäuren: DNA und RNA) und Funktionsträger (Proteine) gekommen sein. Die besondere Bedeutung katalytischer RNA liegt in der potentiellen Fähigkeit zur Eigensynthese und zum Zusammenfügen anderer essentieller Biomoleküle, d.h. in der Funktion eines Katalysators für steigende biochemische Komplexität, der zugleich Speicher- und Matrizenaktivität besitzt.
Tab. 1: Einige wichtige Reaktionstypen, die von im Reagenzglas synthetisierten und isolierten katalytischen RNAs durchgeführt werden.
In jüngster Zeit wurden eine ganze Reihe beeindruckender Berichte in bezug auf katalytische RNA (= Ribozyme*) publiziert, die solche Vorstellungen genährt haben. Stand katalytische RNA zunächst vor allem in Verbindung mit der Fähigkeit zum Selbstspleißen von RNA des Wimperntierchens Tetrahymena (CZECH & BASS 1986; CZECH 1987; CZECH 1990) und dem funktionellen Beitrag der RNA im Falle des aus RNA- und Protein-Komponenten bestehenden Enzyms RNase P aus dem Bakterium E. coli (ALTMAN et al. 1986; ALTMAN 1990), wurden inzwischen katalytische RNAs für eine Vielzahl von biochemisch wichtigen Reaktionstypen im Reagenzglas synthetisiert und selektiert. Einige Beispiele sind stellvertretend in Tab. 1 zusammengestellt.
Dabei handelt es sich z.T. um relativ große RNA-Polymere aus mehreren Hundert Nucleotid-bausteinen (z.B. 240-mere beim selbst-spleißenden Ribozym von Tetrahymena; 377-mere bei RN-ase P) teilweise aber auch um sehr viel kleinere Oligomere (z.B. 35-mere, MORGAN CONN et al. 1996). Ein gemeinsamer Nenner scheint jeweils eine für die betreffende katalytische Aktivität sehr spezifische Nucleotidabfolge (ALTMAN et al. 1986), selektive Binde-affinität für ein 2-wertiges Metallkation (ROBERTSON & MILLER 1995), und eine daraus sich ergebende spezifische 3-dimensionale Faltung des RNA-Oligo-/Polymers mit entsprechend reaktiven Oberflächenmustern zu sein (JAEGER et al. 1991).
Mit im Reagenzglas erzeugten katalytischen RNAs gelingen z.T. Reaktionsbeschleunigungen in der Dimension mehrerer Größenordnungen (ZHANG & CZECH 1997; ROBERTSON & ELLINGTON 1998). Dennoch beschränkt sich deren Beitrag im Stoffwechsel heutiger Lebewesen auf einzelne Reaktionen in Verbindung mit RNA-Substraten. In aller Regel wird in Organis-men das katalytische Geschehen von Proteinen dominiert (ggf. im Zusammenspiel mit nieder-molekula-ren Coenzy-men oder prosthetischen Gruppen). Katalytische RNAs sind eher in den Entwicklungslabors biotechnologi-scher Firmen zu Hause. Die biologische Rolle katalyti-scher RNA in der Vergangenheit inclusive dem (weitgehenden) Rollenwechsel RNA 
Protein kann derzeit nur recht spekulativ betrachtet werden. Dagegen ergeben sich aus Sicht des Chemikers eine ganze Reihe von konkreten Fragen, die beantwortet werden müssen, wenn Überlegungen zu einer "RNA-Welt" Substanz haben sollen. Die primäre Frage (conditio sine qua non) heißt zwangs-läufig: konnten sich solch anspruchsvolle Makromolekü-le wie RNA unter den Bedingungen einer "frühen Erde" spontan (d.h. ohne Steuerung durch einen Chemo-Designer) bilden und stabilisieren? Etwas mehr detailliert betreffen diese Fragen:
Dazu nun einige nähere Betrachtungen. In jedem Abschnitt werden zunächst einige chemische Detailinformationen gegeben, gefolgt von einem kurzen, allgemein gehaltenen Resümee. Erklärungen und Erläuterungen zu Fachbegriffen (mit * gekennzeichnet) finden sich im Glossar.
Nucleobasen
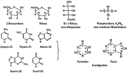
Die präbiotische Anlieferung von Purinbasen (Adenin, Guanin; Abb. 2) wird meist über eine Mehrfach-kondensation* von HCN (Blausäure) erklärt. Jedoch ist zu beden-ken, daß diese Reaktion nur bei Mindest-konzentrationen von 0,01 mol/l HCN (ca. 6 x 1021 Moleküle in 1 Liter) genügend Triebkraft besitzt, um die unverzichtbare Zwischenstufe Diaminomaleo-nitril anzu-liefern; andernfalls überwiegt die Hydrolyse* von HCN zu Ameisensäure + Formamid (ZUBAY 1983). Dies erscheint ähnlich unrealistisch wie die Bedingungen zur präbiotischen Synthese der Pyrimidinbasen (Cytosin, Uracil, Abb. 2), welche in geringer Ausbeute durch Reaktion von 0,1 mol/l Cyanoacetylen mit 1,0 mol/l Cyanationen in wässriger Lösung gebildet werden (JOYCE 1989). Da aber beide Reaktionspartner sehr rasch hydrolysiert werden (ZUBAY 1983), und die hohen erforderlichen Konzentrationen nochmals um 1-2 Zehnerpoten-zen höher liegen als bei der Purinsynthese, ist diese Syntheseroute für die vorlie-gende Fragestellung recht un-wahrschein-lich. Diese Einwände gelten prinzipiell für alle in Betracht gezogenen Reaktions-wege, die höchste Reinheit und Volumenkonzentration an Ausgangsstoffen erfordern, beson-ders wenn infolge geringer Produktstabilität eine beständig hohe Nachsyntheseaktivität nötig ist. Im Falle der Nucleobasen wird bei hohen Temperaturen (ca. 100°C) die Hälfte der Moleküle innerhalb von wenigen Tagen (C) bzw. wenigen Jahren (A,G,U) abgebaut. Für Cytosin (C) ist die Stabilität selbst bei 0°C ernüchternd gering (LEVY & MILLER 1998).

Abb. 2: Strukturen der Bausteine für die Nucleosid- und Neucleotidsynthese.
Zudem ist zu beachten, daß bei synthetischen bioaktiven RNAs deutlich wurde, daß hohe biospezifische Aktivität oft einhergeht mit dem Einbau chemisch modifizierter Nucleotidbau-steine; z.B. C5-derivatisierte Pyrimidin-basen, C8-derivatisierte Purinbasen, oder regioselektiv C2'-derivatisierte Ribose (EATON 1997). Seltene Nucleobasen finden sich in Spuren auch bei heutigen Lebewesen. Deshalb ist zu vermuten, daß "frühe" RNA-Katalysatoren ebenfalls derivatisierte Bausteine beinhalteten (ROBERTSON & ELLINGTON 1998), was zusätzliche Synthese-modelle zu deren präbiotischen Anlieferung verlangt. Für 5-substituierte Uracil-Derivate gibt es das (ROBERTSON & MILLER 1995): Uracil + Formaldehyd Þ 5-Hydroxymethyl-uracil, woraus durch Reaktion mit Nucleophilen* weitere Derivate entstehen können (experimentelle Bedingungen: pH 7, 100°C, c(Nucleophil) » 0,01-0,1 mol/l, je nach Reagenz; Einsatz reiner Ausgangsstoffe).
Resümee: Hypothetische Synthesewege für Nucleobasen beinhalten kritische Schritte, die die Verfügbarkeit reiner Ausgangsstoffe in sehr hoher Konzentration erfordern, um nennenswerte Produktmengen anzuliefern. Die Produktstabilität ist insbesondere für Cytosin ernüchternd gering, gemessen an üblichen evolutionistischen Zeitvorstellungen. In heißen Ursuppen wird zwar die Reaktionsgeschwindigkeit erhöht, jedoch auch in Richtung Abbau durch Hydrolyse.
Zucker
Ein weiterer Grundbaustein von RNA-Ketten ist Ribose, ein Pentosezucker (eine Aldo-pen-tose* in der offenkettigen Konformation*, eine Pentofuranose* in der Ringkonforma-tion). C1'
N-glycosidische Verknüpfung eines Moleküls Ribose mit einer Nucleobase führt zu Nucleosiden. Für die prä-biotische Bildung von Ribose wird meist die sog. Formose-Reaktion (Zuckerbildung aus Formaldehyd als Ausgangssub-stanz, s.u.) ins Feld geführt. Genauer besehen ist jedoch die Anlieferung von D(+)-Ribose* noch problematischer als die der Nucleobasen.
Zum einen sind nennenswerte Mengen an Zuckern allgemein in realistischen Ursuppenexperimenten niemals angeliefert worden (DOSE 1987).
Zum zweiten entstanden stets Racemate* (Gemische spiegelbildlich gebauter Moleküle), niemals optisch reine Verbindungen, wie sie für biologisch aktive Kettenmoleküle benötigt werden.
Zum dritten: die geringen, ange-lieferten Mengen an Zucker teilen sich in eine enorme Vielzahl an verschiedenen Verbin-dun-gen auf. Aus Form-aldehyd kann sich Glycoalde-hyd bilden; durch Reaktion von Glycoaldehyd- und Formaldehyd-Bausteinen bilden sich diverse Triosen, Tetrosen, Pentosen, Hexosen und höhere Zucker, zusätzlich weiter aufgespal-ten in Struktur- und Stereoisomere* (Aldosen bzw. Ketosen mit zahlreichen Epimeren, sowie jeweils D- und L-Isomeren, JOYCE 1989). Ein Mechanismus zur selektiven Anlieferung oder Anreicherung optisch reiner D(+)-Ribose ist nicht bekannt - nicht einmal ein Mechanismus, der auch nur 1% Überschuß eines Enantiomers anliefern würde. Somit ist die Bedeutung der Formose-Reaktion für die Frage nach einer nicht-gelenkten (ungesteuerten) Synthese von RNA-Makromolekülen aus Ursuppen-bestandteilen mehr als fraglich.
Viertens: eine weitere Komplikation ergibt sich aus Interferenzen zwischen Nucleobasen- und Zuckersynthese unter präbiotischen Bedingungen. So reagiert Formaldehyd leicht mit HCN zum Cyanhydrin des Formaldehyds (ZUBAY 1983), d.h. die unverzichtbaren Ausgangsstoffe für Nucleobasen- und Ribose-Synthese fangen sich gegenseitig ab, sobald sie nicht räumlich getrennt vorliegen. Genau dies ist aber die kontraproduktive Situation unter Ursuppenbedingungen.
Schließlich fünftens: die Stabilität von Ribose ist, gemessen an den gängigen Zeitskalen, außerordentlich gering. Bei pH 7 und 100C ist nach 73 Minuten die Hälfte des Materials abgebaut, bei pH 7 und 0C nach nur 44 Jahren. Ähnliche Daten werden auch für andere Zucker und Zuckerphosphate erhalten (LARRALDE et al. 1995). Unter basischen Bedingungen (heutige Ozeane) geht der Abbau noch viel schneller.
Resümee: für die Synthese von Ribose unter den Bedingungen einer primitiven Erde gibt es weder mit Hinblick auf Quantität noch auf Qualität (optisch rein) ein plausibles Modell.
Nucleoside und Nucleotide
Der nächste Schritt in Richtung RNA wäre die Bildung von zusammengesetzen Bausteinen aus den elementaren Bausteinen (Verknüpfung von Zucker + Base = Nucleosid, Abb. 3). Erhitzt man Ribose zusammen mit einer Purinbase in Gegenwart 2-wertiger Kationen wie Mg2+ und Ca2+ bis zur Trockne (Modell "austrocknender Tümpel"), so bildet sich ein Gemisch von D-/L*- und a-/ß*-Nucleosiden; die Gesamtausbeute beträgt ca. 2-10%. Pyrimidinbasen reagieren jedoch unter diesen oder ähnlichen Bedingungen praktisch nicht (Ausbeute << 0,1%; JOYCE 1989; ZUBAY 1983). Ein alternativer Weg ist derzeit nicht beschrieben. Bezüglich der Bildung der Purin-Nucleoside ist allerdings zu bedenken, daß eine Reaktion wie die oben beschriebene signifikant von der biosynthetischen Route abweicht, wie sie in lebenden Zellen abläuft. Dort wird das Puringerüst schrittweise am Zucker aufgebaut, ausgehend von 5-Phospho-D-ribose-1-pyrophosphat, welches in einem ersten Schritt durch Um-setzung mit Glutamin, katalysiert von der Amidophosphoribosyl-Transferase, in 5-Phospho-ß-D-ribosylamin überführt wird. Damit ist das N-Atom in Position 9 des fertigen Purins eingeführt. Die weiteren Purinring-Atome kommen (allesamt ebenfalls enzymkataly-siert) von: Glutamin (N3), Formiat (C2, C8), Aspartat (N1), CO2 in Form von Carboxy-Biotin (C6), und Glycin (C4, C5, N7). Bis heute gibt es kein die Biosynthese nachbildendes präbiotisches Modell.

Abb. 3: Schematsiche Darstellung der Verknüpfung der Einzelbausteine von Abb. 2. In diesem Beitrag werden die einzelnen Schritte der Verknüpfung auf ihre Plausibilität aufgrund bekannter experimenteller Daten geprüft.
Nucleotide (= Zucker + Base + Phosphat = Nucleosidphosphate, Abb. 3) lassen sich ebenfalls mittels Festphasenreaktionen und Erhitzung der trockenen Ausgangsstoffe in Gegen-wart von Harnstoff herstellen. Es entsteht zunächst primär das 5'-Phosphat, daneben 2'- und 3'-Phosphate. Weiteres Erhitzen führt zur Bildung von 2'-3'-cyclo-Phosphat als Haupt-produkt. Ist Mg2+ in der Reaktionsmischung vorhanden, bilden sich bevorzugt Pyrophosphate (ZUBAY 1983). Zwar beträgt die Gesamtausbeute an phosphoryliertem Nucleosid ca. 90%, doch gibt es ausgehend von dieser vielfältigen Produktmischung keinen einfachen Weg zu linear 5'
3'-verknüpften Polynucleotidketten.
Besonders aus stereochemischer Sicht ergeben sich für die Bildung dieser RNA- (DNA-) Bausteine erhebliche Anforderungen (JOYCE 1989; JOYCE et al. 1984). So zeigten Modell-studien, daß D-Mononucleotide in der anti-Konformation* und L-Mononucleotide in der syn-Konformation* strukturell recht ähnlich sind, wenn sie an eine komplementäre Matrize gebunden sind. Daher können beide eingebaut werden, und eine matrizen-gesteuerte Polymerisierung des einen Enantiomers wird stark gehemmt durch die Gegenwart und Einbau des jeweils anderen Spiegelbilds (enantiomere Kreuz-Inhibition, mit Kettenabbruch am 3'-Ende aufgrund leichter struktureller Verzerrung, Abb. 4). Zwar werden Bausteine, die die-selbe stereochemi-sche Orientierung haben wie die Matrize viel effizienter eingebaut, aber aufgrund der strukturellen Ähnlichkeit keineswegs ausschließlich. Ist erst einmal ein spiegelbildlicher Baustein am 3'-Ende fixiert, wirkt er als Kettenabbrecher. Eine optisch reine Matrize ist keine hin-reichende Bedingung für die Bildung gleichartiger Tochterstränge unter Ausschluß des Spiegelbildes. Somit ergibt sich für die nicht-gelenkte Entstehung optisch reiner Polymerketten die praktisch unerfüllbare Forderung nach stereochemischer Auftrennung eines racemischen Gemisches mit achiralen*, präbiotischen Werkzeugen.

Abb. 4: Stereochemisch heterogene DNA-Duplex und schematische Darstellung der resultierenden strukturellen Verzerrung. (Nach JOYCE et al. 1987)
Insgesamt ergibt sich bezüglich der Nucleotide ein wahres Labyrinth an stereochemischen Varianten: bezüglich des Zuckerbausteins (D/L), der glycosidischen Bindung (a/b), und der relativen Orientierung von Nucleobase und Zuckerphosphat (syn/anti), sowie jede Menge Struktur-isomere in puncto Pentosezucker (s.o., von anderen Zuckern ganz zu schweigen) - und beliebige Kombinationen davon. Ein Ausweg aus diesem Labyrinth ohne intelligenten "Chemo-Designer" ist extrem unwahrscheinlich; die Alternative, nämlich eine zielgerichtet gesteu-erte (gelenkte) Synthese, deshalb um so plausibler.
Als Ausweg wird von einigen Gruppen eine "prä-RNA-Welt" postuliert, in der statt der Ribose einfachere, offenkettige Polyalkohole wie Glycerol oder Erythritol mit Nucleobasen und Phosphat kondensierten; die Ketten bestünden dann aus acyclischen Nucleosiden (JOYCE et al. 1987). Vorteil: deutlich höhere strukturelle Flexibilität, und weniger enantiomere Kreuz-Inhibition. Dieses Modell bietet jedoch keine Problemlösung bezüglich der Nucleosid- und Phosphodiester-Synthesen, da auch diese Moleküle mindestens trifunktionell sind. Es ergibt sich auch hier die Notwendigkeit regioselektiver Derivatisierungen*, Auswahl eines Isomers aus Gemischen, und als neue Nebenreaktion kommt die intermolekulare Ringbildung als Konkurrenz zum Einbau in RNA-Oligomere dazu!
Zudem: die einfacheren Ribose-Alternativen weisen nach Einbau in Oligo-nucleotid Chirali-täts-zentren auf und bilden D-und L-Konformere (sie sind prochiral*). Aufgrund der hinzu-gewon-nen strukturellen Flexibilität würden bei matrizen-gesteuerten Synthesen verschiedene Stereo-isomere* unterschiedslos eingebaut - unter Bildung ataktischer Ketten (statistisch wechselnde stereochemische Orientierung). Dies ist kein Modell für die optisch reinen RNA-Moleküle in der belebten Natur. Es ist ein Schritt weiter weg von einer realen, beobachtbaren Biochemie, eine hypothetische Vorstufe, die nach zusätzlichen Übergangsmechanismen verlangt.
Resümee: Es existiert bisher kein Modell, welches die Bildung von Nucleosiden und Nucleoti-den analog heutiger Biosynthesen und in der erforderlichen stereo- bzw. strukturchemischen Qualität erklären kann. Selbst kleine Abweichungen vom stereochemischen Sollzustand haben negative Auswirkungen bezüglich der Bildung biochemisch relevanter Polynucleotidketten.
Phosphorsäure-ester
Bei diesem Verbindungstyp, zu dem auch das Kettenrückgrat von Nucleinsäuren zählt, handelt es sich um Umsetzungen einer trivalenten Mineralsäure (Abb. 2), die sich in ihrer Reaktivität grundlegend von Carbonsäuren unter-scheidet. So sind deren Ester nicht einfach durch Erhitzen mit Alkoholen darstellbar, da es wohl infolge sterischer Effekte eher zur Bildung komplexer Polyphosphorsäuren kommt (FUHRHOP 1982). Auch 5'-Nucleo-sidphosphate neigen weit mehr zur Reaktion mit anderen Phosphomono-estern unter Bildung von Pyrophosphaten* als mit Alkoholen zu Phosphodiestern*, welche in RNA und DNA zwischen jeweils 2 Nucleosiden als Brücke dienen. Läßt man 3',5'-Diphospho-nucleo-side (als Imidazolide aktiviert) in wäßrigem Milieu reagieren, so entstehen in guter Ausbeute Oligonucleotide - allerdings als wenig brauchbares Gemisch von 3'-5', 3'-3' und 5'-5'-Verknüpfungen (SCHWARTZ & ORGEL 1985; JOYCE et al. 1987). Setzt man Ribonucleotide ein, so reagiert zusätzlich auch die 2'-Hydroxygruppe.
Für die Bildung kettenförmiger Polynucleotide mit 5'
3'-Polarität dürfen jeweils nur 2 der 3 Valenzen am Phosphor besetzt werden, und die Phosphodiester müssen gezielt die 3'-OH-Gruppe des einen und die 5'-OH-Gruppe des nächsten Ribosemoleküls verbrücken. Man geht in heutigen Oligonucleo-tid-synthe-sen so vor, daß man schrittweise ein 3'-Phosphit-Derivat eines Nucleosids [nur 2 Valenzen am Phosphor, als N,N-Diisopropyl-Phosphoramidit stabil und zugleich nucleophil* substituierbar] mit der zuvor spezifisch entblockten 5'-Hydroxyl-gruppe eines anderen Nucleosids umsetzt, gefolgt von nachträglicher Oxidation des Phosphit-esters zum Phosphat--ester (3 Valenzen) mittels J2 in Pyridin/Wasser (GAIT 1985). Für eine gerichtete RNA-Synthese muß dabei die C2'-OH-Funktion der Ribose-Einheiten effektiv blockiert werden durch Schutzgruppen (z.B. 1-(2-Fluorophenyl)-4-methoxypiperidin-4-yl; Reese 1991), welche während der Kopplung stabil sind, danach aber unter geeigneten Bedingungen schonend abspaltbar sind. Ähnliches gilt für die primären Aminofunktionen* der Nucleobasen.
Resümee: Eine ungesteuerte Polykondensation von Nucleotidbausteinen zu linearen Poly-nucleotidsträngen auf Basis von Phosphodiesterbrücken mit 5'-3'-Polarität und mit intakten Basen erscheint auf Basis der vorliegenden Daten extrem unwahrscheinlich.
Produktmischungen
In zahllosen Ursuppen-Simulationsexperimenten mit verschiedensten Variationen wurden übereinstimmend Reaktionsmischungen gebildet, die überwiegend schlecht definierte, z.T. teerartige Polymere enthalten und einen großen Überschuß an mono-valenten Verbindungen (z.B. Carbonsäuren, Aldehyde, Alkohole, ...). In solch einem Medium mit meist deutlich saurem pH sind hydrolytische Konkurrenz- und Abbaureaktionen stark begünstigt, was der spontanen Synthese konden-sierter Bausteine bzw. Polymerprodukten entgegensteht. Vor allem aber der hohe Anteil an mono-valenten ("einzähnigen") Verbindun-gen, d.h. an Kettenabbrechern mit Hinblick auf die Bildung von Co-polykondensaten* wie RNA (oder DNA und Proteinen), stellt eine weitere, sehr schwer überwindbare Hürde auf dem Weg zu biochemisch sinnvollen Makro-molekülen und zu einer vermuteten "RNA-Welt" dar, da hier pro Baustein stets 2 Valenzen benötigt werden (für Details siehe VOLLMERT 1985).
Resümee: Die in Ursuppenexperimenten erhaltenen Produktmischungen und Reaktions-milieus stehen der Bildung von Polynucleotidketten in einer solchen Umgebung strikt entgegen.
Nachschub an Ausgangsstoffen
Angenommen, trotz aller Schwierigkeiten hätte eine präbioti-sche RNA-Synthese stattgefunden. Damit ergibt sich dann aber auch die Forderung nach aus-rei-chen-dem Nachschub an Gerüstsubstanzen und Bausteinen bzw. deren Vorstufen, so daß eine kontinuierliche und sich ausweitende Syntheseleistung erbracht werden kann. In typischen in vitro-Selektionsexperimenten zur Gewinnung katalytischer RNA werden 1012-1015 Start-moleküle (N0 ) mit randomisierter Sequenz eingesetzt, die anschließend mittels PCR in n Cyclen [in diesem Kontext meist 15 n 30] mit einer Effizienz von NAMP = N0 x (1+E)n [0 E 1] enorm vervielfältigt werden (NAMP = Anzahl Moleküle nach erfolgter Amplifikation, d.h. Vervielfältigung). Dieser Punkt gewinnt noch an Bedeutung durch die Tatsache, daß RNA (im Gegensatz zu DNA) wegen des Vorhanden-seins der C2'-OH-Gruppen und somit der Möglichkeit zum säure-base-katalysierten Angriff auf die jeweils benachbarte Phosphodieste-r-brücke selbst in leicht alkalischem Milieu (= physiologi-scher pH für die meisten Organismen) hydrolysiert wird; je höher die Temperatur, desto rascher der Abbau. pH-Schwankungen werden somit zu einem kritischen Faktor (Abb. 5).

Abb. 5: Basenkatalysierter Strangbruch bei RNA.
Die Forderung nach Nachschubwegen ist zugleich auch eine Forderung nach geeigneten, möglichst kompartimentierten Reaktionsräumen, z.B. mit den Voraussetzun-gen für eine Replikation und Aufkonzentrierung der vorhandenen Nucleinsäure-Moleküle sowie deren Schutz vor Abbau, und ausreichend leistungsfähigen Energie-Einfang-/Konservierungs-/ Umwandlungsmechanismen zur Bereit-stellung aktivierte Reaktanden. Dies aber entspräche schon auf der Stufe einer hypothetischen "RNA-Welt" einem Grad an Komplexität, der einer lebenden Zelle nahekommt.
Resümee: um eine nachhaltige Wirkung zu erzielen, muß eine zufällige Entstehung bioche-misch sinnvoller Verbindungen in nennenswerten Stoffmengen erfolgen. Dies erfordert aber eine Syntheseeffizienz, für die es viele Beispiele bei lebenden Zellen und modernen molekular-biologischen Experi-men-ten im Reagenzglas, aber keine präbiotischen Modelle gibt.
In vitro-Selektion von katalytischer RNA - Evolution im Reagenz-glas?
Die hierzu angewendeten Methoden werden oft als evolutionäre Techniken bezeichnet, die Ursuppen-pro-zesse imitieren. Dies ist jedoch gewagt angesichts der Tatsache, daß dabei die katalytischen RNAs Endprodukte eines mit viel fachlichem Know-how konzipierten Anreicherungs-prozesses sind (SASSANFAR & SZOSTAK 1993; TARASOW et al. 1997; ZHANG & CZECH 1997; FRAUENDORF & JÄSCHKE 1998; WRIGHT & JOYCE 1997). Die gesuchte Funktion (eine definierte Katalysator-Aktivität) wird dabei durch intelli-gente Auswahl von maßge-schneider-ten Verbindungen mit geeigneten reaktiven Gruppen, von spezifischen Festphasen (zur selektiven Anreicherung bestimmter Moleküle und Abtrennung anderer) sowie passenden Reaktions-führungen (z.B. Verknüpfungs-, Kopier- und Verviel-fältigungs-reaktionen, dazwischen Trenn- und Wasch-schritte) gezielt herausgefiltert ("gerichtete Testsysteme"). Diese bis ins Detail ausgeklügelten Experimente sind z.B. so angelegt, daß nur RNA-Moleküle mit gesuchter Aktivität (i.d.R. nur in Spuren in statistischen RNA-Mischungen enthalten!) entweder spezifische Wechselwirkun-gen eingehen (z.B. mit Substrat-Derivaten, die über einen Linker an eine Oberfläche ge-koppelt sind, an denen sie sich "festbeißen"), oder sich bei der Katalyse der gewünschten Reaktion selbst funktionalisieren. In beiden Fällen können sie aus der Mischung gezielt "herausgefischt" und dann weiter bearbeitet werden.
Ursuppenprozesse sind - in scharfem Gegensatz zu in vitro-Selektionsvorgängen - grundsätzlich ungelenkt.
Reagenzstabilität spielt in den dadurch bedingten kurzen Inkubations-zeiten keine Rolle. Es sind maßgeschneiderte Test-systeme mit hoher Gesamt-reaktionsge-schwindig-keit, und das ist grund-legend verschieden von einem unsortierten, ungelenkten Ursuppen-milieu, in dem per se keine Ziel-richtung vorgegeben ist. So ist z.B. die Bedeutung der katalysierten Bildung von Nucleosid-, Phosphodiester- oder Peptidbindungen erst aus der heutigen Biochemie erkennbar.
Resümee: Ursuppenprozesse sind - in scharfem Gegensatz zu in vitro-Selektionsprozessen - grundsätzlich ungelenkte Prozesse. Es fehlt ein Konzept zur Anreicherung. Daher der Bedarf an langen Zeiträumen für "Zufallsergebnisse". Dies aber bedeutet hohe Wahrscheinlichkeit für Substanzverlust durch Hydrolyse, photochemische Schädigung (beachte: alle präbioti-schen Modelle gehen von hohem Eintrag an Strahlungs-energie aus!), sowie eine Vielzahl von biochemisch nutzlosen Nebenreaktionen und Nebenproduk-ten, die u.U. biochemisch sinnvolle Verbindungen abfangen können.
Schlußfolgerungen
Es gibt fundamentale Schwierigkeiten, die Bildung von Ribonucleotiden aus Zucker + Nucleobase + Phosphat in regio- und stereoselektiver Anordnung ohne präparativ-chemisches Design und gezielte Synthesesteuerung zu erklären. Dasselbe gilt für deren Verknüpfung zu optisch reinen, chemisch eindeutig definierten Polymerketten. Daraus folgt, daß eine RNA-Welt (inklusive hypothetischer Vorstufen) mit sehr hoher Wahrscheinlich-keit nicht am Anfang des Lebens stand.
Eine RNA-Welt stand mit sehr hoher Wahrscheinlichkeit nicht am Anfang des Lebens
Dies gilt um so mehr, als auch konzeptionell der Reifegrad zellulärer Biochemie als unabdingbar zu betrachten ist. Sie zeichnet sich u.a. durch hohe Synthese-Effizienz und geordneten Informationsfluß von einer Makromolekülsorte (DNA) über eine verwandte Makromolekül-sorte (RNA) in eine ganz andere Makromolekül-sorte (Polypeptid, Protein) aus. Grundlage dafür ist eine biochemische Sprachkonvention ("genetischer Code"), der wiederum konzeptio-nelle Intelligenz zugrunde liegt - Eigenschaften, die der unbelebten Materie nicht innewohnen. Die Aufgabenteilung in Informationsspeichermoleküle und katalytische Mole-küle ("Werkzeuge"), welche u.a. auch die Auf-gabe der Reparatur der Speichermoleküle und damit den Erhalt der Information übernehmen, ist durchaus sinnvoll, weil zeitlich und räumlich differentiell regulierbar. Dies ist selbst für einfachste Zellen eine Notwendigkeit, denn die der Informationsspeicherung dienende Molekülsorte darf nur einen sehr langsamen Stoffwechsel aufweisen (zwecks Informations-er-halt), die als Katalysator dienende hingegen muß einem eher raschen Stoff-wechsel unterliegen, da sonst kein aus-reichendes Reaktions-vermögen auf wechselnde interne und externe Bedingungen gegeben ist. Die Zusammen-führung beider Funktionen in ein und demselben Molekül ist wenig sinnvoll und zudem, da es sich um RNA handelt, bezüglich der Bereitstellung außerordentlich kritisch. Die in der Biochemie erkennbare molekulare Logik weist bezüglich der Ursprungsfrage im Grunde auf gar keine bestimmte Molekülsorte hin, sondern auf Konzepte, Know-how, Programme, innerhalb derer Moleküle, Reaktionen und Stoffwechselwege ihren Platz finden. Deren Quelle dürfte kaum innerhalb eines rein materiellen Rahmens zu finden sein.
Moleküle, deren Aufbau ein Symmetriezentrum oder eine Symmetrieebene aufweisen, können nicht in spiegelbildlichen Formen vorkommen, die sich wie rechte und linke Hand nicht zur Deckung bringen lassen; sie sind achiral und optisch inaktiv (s.u.)
vielfach sich wiederholende ("poly") Verknüpfung von Bausteinen, jeweils unter Abspaltung eines Moleküls Wasser ("Kondensation"), wobei unterschiedliche Bausteine an der Reaktion teilnehmen ("co"), hier Adenosin-, Guanosin-, Cytidin-, Uridin-ribonucleotide.
siehe Stereoisomere
reaktive Atomgruppen an einem Molekül, über das es bestimmte Reaktionen mit anderen Molekülen eingehen kann. Die Einteilung in primär etc. zeigt an, in welchem Ausmaß dabei Wasserstoff durch Kohlenstoff ersetzt ist. Z.B. bei Aminen: R-NH2, R2NH, R3N, bei Alkoholen: R-CH2-OH, R2-CH-OH, R3C-OH (R = Rest einer Kohlenstoffverbindung).
Umkehrung der Kondensation; Abspaltung eines Teils einer Verbindung durch Wassereinbau; z.B. R-CO-O-R' + HOH ==> R-COOH + HO-R'; R-CO-NH-R' + HOH ==> R-COOH + H2N-R'.
Verknüpfung von Bausteinen unter Abspaltung von Wassermolekülen, z.B. R-COOH + HO-R'==> R-CO-O-R + H2O; R-COOH + H2N-R'==> R-CO-NH-R' + H2O.
Die Konstitution gibt die Art der Bindungen und die gegenseitige Verknüpfung der Atome in einem Molekül an (= Strukturformel, gezeichnet in der Papierebene).
Die Konfiguration kennzeichnet die räumliche Anordnung eines Moleküls - ohne Berücksichtigung der verschiedenen Atomanordnungen, die sich voneinander nur durch Drehung um Einfachbindungen unter-scheiden. Bewertet man die räumliche Anordnung nach einem Regelwerk, das den Atomgruppen an einem C-Atom Rang-plätze zuweist, so kann eine absolute Konfiguration angegeben werden (s.u.).
Die Konformation gibt die genaue räumliche Lage und Anordnung aller Atome wieder. Ein Molekül bestimmter Konfiguration kann durch Drehung von Einfachbindungen in sehr vielen Konformationen existieren, von denen einzelne einem Energie-minimum entsprechen und dann als konkrete Konformere bezeichnet werden (z.B. syn/anti bei Nucleotiden).
Reagenzien, die Positionen mit niedriger Elektronendichte angreifen. Werden dabei andere Atome oder Gruppen verdrängt, spricht man von nucleophiler Substitution, ansonsten von Addition.
Zahlen ohne Apostroph kennzeichnen die Position eines Atoms in einer Nucleobase (1 bis 6 bei Pyrimidinen, 1 bis 9 bei Purinen), Zahlen mit Apostroph kennzeichnen die Position von C-Atomen im Zuckermolekül (1' bis 5' bei Ribose). Die nucleosidische Bindung zwischen einer Purinbase und Ribose (oder Deoxyribose) ist 1'-9, d.h. verknüpft das 1'-C-Atom des Zuckers mit dem N-Atom an Position 9 der Base. Die nucleosidische Bindung zwischen einer Pyrimidinbase und einem Zucker ist 1'-1, ebenfalls eine C-N-Verknüpfung.
Ein Molekül einer Phosphorsäure reagiert unter H2O-Abspaltung (= Kondensation) mit zwei Molekülen (hier Ribose), die jeweils alkoholische Gruppen (R-OH) besitzen. Es entsteht die Formation R-O-PO2-O-R'.
Ein Molekül einer Phosphorsäure (oder eines Derivats) reagiert unter H2O-Abspaltung (= Kondensation) mit einem weiteren Molekül Phosphorsäure (oder eines Derivats). In der vorliegenden Betrachtung handelt es sich um Nucleosidphosphate. Es entsteht die Formation R'-O-PO2-O-PO2-O-R'.
wird an einem C-Atom mit 2 gleichen Substituenten (Ca1ba2d) einer der beiden durch einen neuen Substituenten e ersetzt, so entstehen 2 chirale Stereoisomere (Ca1bde; Cba2de). Das betreffende C-Atom und Molekül sind also prochiral.
siehe Stereoisomere
an einem Molekül mit mehreren reaktiven Positionen wird ganz überwiegend bzw. ausschließlich nur eine bestimmte verändert (derivatisiert); werden dabei für nachfolgende Reaktionen wichtige Gruppen eingeführt, spricht man auch von Funktionalisierung.
oft benutzter Ausdruck für katalytische RNA, um die funktionelle Verwandtschaft zu Protein-artigen Katalysatoren (Enzymen) hervorzuheben.
Varianten (Isomere) einer chemischen Verbindung, deren Atome in derselben Reihenfolge und Art aneinander gebunden sind, die sich aber in ihrer räumlichen Anordnung unter-scheiden. Paare von Isomeren, die sich wie Bild und Spiegelbild verhalten, d.h. sich nicht zur Deckung bringen lassen, ohne Bindungen zu brechen und neu zu knüpfen, nennt man Enantiomere; trifft dies nicht zu, spricht man von Diastereomeren. Voraussetzung für Enantiomerie ist, daß das Molekül weder eine Symmetrieebene noch ein Symmetriezentrum besitzt. Meist reicht das Vorhandensein eines asymmetrischen Zentrums, d.h. eines C-Atoms mit 4 verschiedenen Substituenten. Zur Bezeichnung der genauen räumlichen Anordnung (Bezug auf eine Referenzverbindung bzw. "absolute Konfiguration"*) gibt es unterschiedliche Regeln (D, L- bzw. R, S-Nomenklatur). Enantiomere lassen sich also genauso wenig zur Deckung bringen wie unsere Hände; sie sind chiral. Chiralität ("Händigkeit") ist erkennbar an seiner "optischen Aktivität". Dies bezeichnet die Fähigkeit, den nur in einer räumlichen Ebene schwingenden Feldvektor von eingestrahltem linear polarisierten Licht zu verändern, d.h. im Uhr- (+) oder Gegenuhrzeigersinn (-) zu drehen. Gemische von Enantiomeren, sog. Racemate, sind optisch inaktiv.
eine Reaktion, bei der ganz überwiegend bzw. ausschließlich eines von mehreren möglichen Stereoisomeren gebildet wird.
dies sind Verbindungen mit derselben Summenformel, die sich aber in der Art der Bindungen und Reihenfolge der aneinander gebundenen Atome unterscheiden.
Stereoisomere. D- und L-Isomere sind Enantiomere [Spiegelbildisomere] eines offenkettigen Zuckerbau-steins, eingeteilt nach der Stellung der OH-Gruppe an dem asymmetrischen C-Atom, welches von der Carbonylfunktion (Aldehyd- oder Ketogruppe) am weitesten entfernt ist, mit der absoluten Konfiguration von Glycerinaldehyd als Referenz: D = rechts stehend, L = links stehend. a- und ß-Isomere betreffen die Orientierung der N-glycosodischen Bindung am C1' der Ribose relativ zum Furanosering: auf derselben Seite oder entgegen-ge-setzt zur 5'-OH-Gruppe. Syn- und anti-Isomerie bezeichnet 2 definierte Konformere der Nucleobasen relativ zum C5'-Phosphatrest im nucleosidischen Ringsystem, d.h. Lage des O2-Atoms der Pyridine bzw. des N3-Atoms der Purine oberhalb oder unterhalb der Ringebene, die durch die Atome C4'-C1'-O des Furanoserings gebildet wird.
Epimere sind diastereomere Paare von Zuckern, die sich lediglich in der Konformation (Stellung der OH-Gruppe) an einem asymmetrischen C-Atom unterscheiden. So sind z.B. in der Familie der Aldohexosen D-Glucose und D-Mannose Epimere bezüglich C2, D-Glucose und D-Galactose bezüglich C4.
Strukturisomere. Beispiel hierfür sind Aldo- und Keto-Formen eines Zuckers mit bestimmter Kettenlänge, z.B. C6-Kette = Hexose, C5-Kette = Pentose. So ist Glucose eine Aldohexose, Fructose eine Ketohexose; Ribose eine Aldopentose, Ribulose eine Ketopentose. Bei der Cyclisierung eines Zuckers können wiederum Struktur-varianten entstehen. Beispiel Ribose: ein Sauerstoffheterocyclus mit insgesamt 5 Atomen im Ring wird als Furanose bezeichnet (Ringschluß C4'-O => C1'; C5' bleibt außerhalb des Rings), einer mit 6 Atomen im Ring als Pyranose (Ringschluß C5'-O => C1').
TIBS 11, 515-518.
Angew. Chem. 102, 735-744.
Annu. Rev. Biochem. 55, 599-629.
Spektrum der Wissenschaft, Ausgabe Januar 1987, 42-51.
Angew. Chem. 102, 745-755.
Science 267, 237-240.
Chemie in unserer Zeit 21/6, 177-185.
Curr. Opin. Chem. Biol. 1, 10-16.
Nature 382, 373-376.
Angew. Chem. 110, 1449-1451.
Bioorganische Chemie, Kapitel 2.5: Heterocyclen. Stuttgart.
Oligonucleotide Synthesis - a practical approach. IRL Press.
Curr. Biol. 5. 1017-1022.
Mol. Biol. 221, 1154-1164.
Science 292, 1319-1325.
Nature 310, 662-664.
PNAS 84, 4398-4402.
Nature 338, 217-224.
PNAS 96, 173-178.
PNAS 92, 8158-8160.
PNAS 95, 7933-7938.
Nature 381, 442-444.
J. Am. Chem. Soc. 118, 7012-1013.
Nucleic Acids Research Symposium Series 24, 25-32.
Nature 395, 223-225.
Science 268, 702-705.
Nature 364, 550-553.
Science 228, 585-587.
Nature 389, 54-57.
Nature 395, 260-263.
Das Molekül und das Leben, Reinbek bei Hamburg.
RNA 2, 982-994.
Chem. Biol. 4, 675-683.
Nature 374, 777-782.
Science 276, 614-617.
Nature 390, 96-100.
Biochemistry. Chapter 32: Origins of Life. Addison-Wesley Publishing Company.
Letzte Änderung: 28.01.2009 •