Die Datierung archaeologischer Proben mittels Radiokarbon (14C).
Teil I: Grundlagen. (s.a. Teil IIa, , )
von Uwe Zerbst
Studium Integrale Journal
5. Jahrgang / Heft 1 - April 1998
Seite 17 - 28
Zusammenfassung: Die Glaubwürdigkeit antiker Geschichtsberichte, vor allem des Alten Testaments, ist in jüngster Zeit vor dem Hintergrund systematischer archäologischer Untersuchungen ins Kreuzfeuer der Kritik geraten. Eine Schlüsselrolle kommt in diesem Zusammenhang der zeitlich korrekten Einordnung des archäologischen Befundes zu. Der vorliegende Beitrag befaßt sich mit einem Teilaspekt dieser Problematik, der Anwendung der Radiokarbonmethode in der Archäologie des Alten Orients.
Das Verfahren basiert auf dem radioaktiven Zerfall des in der oberen Atmosphäre kontinuierlich erzeugten Kohlenstoffisotops 14C. Bildung und Zerfall des Isotops stehen in globalen Reservoirs, z. B. der Atmosphäre, in einem dynamischen Gleichgewicht, an dem auch die Biosphäre (die Gesamtheit der Lebewesen) teilhat. Scheidet ein Organismus mit seinem Tod aus der Nahrungskette aus, so verringert sich die 14C-Konzentration in seinem Innern aufgrund des radioaktiven Zerfalls gegenüber dem ihn umgebenden Reservoir stetig. Aus der heutigen, im Labor meßbaren Konzentration kann der Forscher bei Kenntnis des Zerfallsgesetzes auf das Alter, genauer auf den Sterbezeitpunkt der Probe schließen.
In der Praxis wird dieses einfache Prinzip jedoch durch mögliche nachträgliche Verunreinigungen der Proben mit Fremdkohlenstoff und durch das Phänomen der Isotopenverschiebung verkompliziert (Tab. 1). Effekte der Isotopenverschiebung werden im Nachhinein korrigiert, um auf diese Weise von den gemessenen 14C-Altern auf wirkliche oder kalendarische Alter schließen zu können.
Inhalt:
Einführung
Die Datierung ist das Rückgrat der Archäologie. Ohne eine verläßliche zeitliche Zuordnung lassen sich Grabungsfunde nur schwer in den geschichtlichen Rahmen einpassen, für dessen Überprüfung oder Interpretation sie zusätzliche Informationen liefern sollen. Für die jüngere Vergangenheit erlauben direkt datierbare Funde wie Inschriften oder Münzen in der Regel eine eindeutige Zuordnung zur schriftlich fixierten Geschichte. Schwieriger verhält es sich für weiter zurückliegende Epochen. Für die Jahrtausende v.Chr. müssen die historischen Chronologien selbst erst erstellt werden. Dies geschieht - etwa für den östlichen Mittelmeerraum - in der Regel auf der Grundlage erhalten gebliebener antiker Königslisten. Aufgrund der zumeist unvollständigen und manchmal widersprüchlichen Angaben ist die Ausarbeitung einer durchgehenden Chronologie aber häufig nicht ohne Zusatzannahmen möglich. Noch komplizierter liegen die Dinge für Funde der Vorgeschichte, etwa der Steinzeit in Europa oder der Neuen Welt, für die überhaupt keine schriftlichen Zeugnisse existieren.
Vor diesem Hintergrund bietet das Radiokarbon- oder 14C-Verfahren eine attraktive unabhängige Datierungsmethode. Die Chronologien für die letztgenannten Epochen basieren heute praktisch vollständig auf 14C-Datierungen (Taylor et al. 1992). Aber auch für Funde aus geschichtlicher Zeit kann das Verfahren wichtige Informationen liefern, etwa dann, wenn ein Fund auf der Grundlage der bestehenden archäologischen Datierungsmethoden nicht eindeutig zugeordnet werden kann.
Problematisch wird das Verhältnis zwischen Archäologie und 14C-Datierung immer dann, wenn mittels der unterschiedlichen Verfahren für ein und dieselbe Probe deutlich voneinander abweichende Alter ermittelt werden. Geschieht dies in einzelnen Fällen, so läßt sich zumeist eine befriedigende Erklärung für die Diskrepanz finden, ohne daß die Datierungsmethoden selbst grundsätzlich hinterfragt werden müßten. In den letzten Jahrzehnten scheint sich jedoch für das Altertum im östlichen Mittelmeerraum der Trend zu erhärten, daß die gemessenen 14C-Daten deutlich höhere Alter ergeben, als die historisch etablierten Chronologien zulassen. Die Konsequenzen sind weitreichend. So vertreten etwa Kuniholm et al. (1996) in einem unlängst in Nature erschienenen Aufsatz die Ansicht, daß der Konflikt dazu führen wird, daß die etablierte Chronologie Ägyptens und des Alten Orients für das zweite vorchristliche Jahrtausend drastisch revidiert werden muß. Auf der anderen Seite lehnt Mazar (1990) in seinem Standardwerk über die Archäologie Palästinas die Verwendung kalibrierter 14C-Daten für das dritte und vierte vorchristliche Jahrtausend mit der Begründung ab, daß sie unakzeptabel hohe Alter vorspiegelten. Eine populärwissenschaftliche Darstellung des Problemkreises findet sich bei Keller (1992).
Die Frage nach der richtigen zeitlichen Zuordnung archäologischer Funde ist von wesentlicher Bedeutung für die Bewertung der Glaubwürdigkeit antiker Geschichtsquellen wie des Alten Testamentes. Denn die Suche nach archäologischen Spuren überlieferter Berichte wird nur dann zu einem verwertbaren Ergebnis führen können, wenn auch in den "richtigen" Schichten gesucht wird.
Der vorliegende Aufsatz soll den gegenwärtigen Stand der Diskussion um die Datierung antiker archäologischer Proben vorstellen. Dazu wird in einem ersten Hauptabschnitt das Prinzip der 14C-Datierung vorgestellt. In einem zweiten Abschnitt soll das eigentliche Herzstück des Konfliktes, die Kalibrierung der 14C-Daten eingehender betrachtet werden. In einem dritten Teil schließlich wird das Problemfeld 14C-Datierung - Archäologie ausführlicher diskutiert.
Die Radiokarbondatierung
Das Element Kohlenstoff liegt in der Natur in Form dreier Isotope vor, die chemisch identisch sind, aber unterschiedliche Atomgewichte aufweisen. Das häufigste ist das Isotop mit der Massenzahl 12 (12C). Es umfaßt etwa 99% des auf der Erde vorkommenden Kohlenstoffs. Das zweithäufigste Isotop, das 13C mit der Massenzahl 13, macht nur etwa 1% des Gesamtvolumens aus. Noch erheblich seltener ist das schwerste der drei Isotope, das 14C mit der Massenzahl 14. Auf 1012 Atome 12C kommt gerade einmal ein Atom 14C. Anders als die beiden stabilen Isotope 12C und 13C ist das 14C radioaktiv, daher die Bezeichnung "Radiokarbon".
14C wird ständig in der oberen Atmosphäre (genauer: in der unteren Stratosphäre und der oberen Troposphäre) gebildet. Dies geschieht durch die Reaktion von Neutronen (1n), die beim Auftreffen kosmischer Strahlung auf die Atmosphäre entstanden sind, mit Stickstoffatomen (14N).
(1) 
1H ist ein Proton, das bei der Reaktion emittiert wird. Das gerade entstandene 14C (vereinfacht 14C) verbindet sich spontan mit dem Sauerstoff der Luft zu Kohlendioxid (14CO2), das von dem Kohlendioxid der beiden anderen Kohlenstoffisotope chemisch nicht unterscheidbar ist. Innerhalb kurzer Zeit verteilt sich das 14CO2 über die Atmosphäre und die Weltmeere. Die Auswertung überirdischer Kernwaffentests, bei denen ebenfalls 14C gebildet wird, haben gezeigt, daß bereits innerhalb von 2 bis 3 Jahren eine globale Durchmischung der Atmosphäre erreicht ist. Langwieriger und lokal differenzierter gestaltet sich die Verteilung in den Ozeanen für die regional 500 und mehr Jahre erforderlich sind (vgl. Ralph & Michael 1974). Schließlich gelangt das 14C über die Fotosyntese und die sich anschließenden Nahrungsketten auch in die pflanzliche und tierische Biosphäre (Abb. 1).
Abb. 1: Verteilung des radioaktiven Kohlenstoffs auf der Erde. (Nach Thurber 1977)

14C ist ein radioaktives Isotop. Es zerfällt unter Abgabe von ß-Strahlung (Elektronen) zu stabilem Stickstoff 14N:
(2) 
(n = Antineutrino, Q = Zerfallsenergie). Zwischen Bildung und Zerfall stellen sich in den großen Reservoirs (Atmosphäre+atmosphärische Biosphäre, Weltmeere) dynamische Gleichgewichte ein, was sich in konstanten 14C/12C-Verhältnissen äußert.
Stirbt ein Organismus, so scheidet er aus der Nahrungskette aus und nimmt in der Folge kein neues 14C mehr auf. Die vorhandene Menge an 14C verringert sich wegen des radioaktiven Zerfalls ab diesem Zeitpunkt stetig. Die ersten, die die Tragweite dieser Beobachtung erkannten, waren Wissenschaftler in einer Gruppe um den Chemiker Willard Libby an der Universität Chicago. Seit 1946 arbeiteten sie gezielt an einem Datierungsverfahren, drei Jahre später konnten sie die ersten beiden Altersbestimmungen mit 14C vorstellen. Einen ausführlichen Überblick über diese frühe Zeit der 14C-Datierung gibt Damon (1987). 1960 erhielt Libby für seine Leistung den Nobelpreis für Chemie.
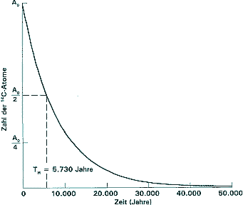
Abb. 2: Zerfallsgesetz des Radiokarbon

Beschreibt man das 14C/12C-Verhältnis durch die gebräuchlichere Größe der Aktivität, A, der Probe, so kann bei Kenntnis der Halbwertszeit des radioaktiven Zerfalls mit Hilfe des Zerfallsgesetzes (Abb. 2)
(3) 
auf den Sterbezeitpunkt, t, geschlossen werden. Der etablierte Wert für die Halbwertzeit, tH, beträgt im Anschluß an Messungen von Godwin (1962) 5.730±40 Jahre. Die Größe Ao entspricht der Radioaktivität zum Sterbezeitpunkt. Bei der praktischen Ermittlung von 14C-Altern wird der neuzeitliche Gleichgewichtswert von Ao = 13,56±0,07 dpm/g (nach Karlen et al. 1966) zugrundegelegt. Man geht heute jedoch davon aus, daß A0, bzw. das 14C/12C-Gleichgewicht während der letzten Jahrtausende Schwankungen ausgesetzt war, eine Erscheinung, die im folgenden als "Isotopenverschiebung" bezeichnet werden soll. Um von 14C-Altern zu wahren oder kalendarischen Altern zu gelangen, müssen die Ergebnisse nachträglich korrigiert werden. Dies geschieht mittels sog. Kalibrierkurven, die aus dem Vergleich von 14C-Altern mit als sicher angenommenen Referenzaltern aufgestellt werden. Als Referenzverfahren dient v.a. die Baumringmethode, die in Abschnitt 3 einer eingehenderen Diskussion unterzogen werden soll.
Das Problem der Isotopenverschiebung
Als Isotopenverschiebung wurden im vorangegangenen Abschnitt zeitliche und geographische Schwankungen des globalen 14C/12C-Verhältnisses bezeichnet. Nachweisbar ist die Isotopenverschiebung (D14C), durch Diskrepanzen zwischen den 14C-Altern und den kalendarischen Altern. Tab. 1 gibt eine Übersicht über Faktoren, die im Zusammenhang mit der Isotopenverschiebung diskutiert werden. Die Einflußfaktoren lassen sich verschiedenen Gruppen zuordnen:
Abb. 3: Faktoren, die Isotopenverschiebung bewirken können.

Die 14C-Bildungsrate wird durch die kosmische Strahlung, die zur Bildung der für die Entstehung des 14C benötigten Neutronen verantwortlich ist, bestimmt. Variationen dieser Einflußgröße könnten durch Veränderungen der Sonnenstrahlung (Stuvier 1965; Sonett 1984; Damon & Linick 1986; Fan et al. 1986; Hood & Jirikowic 1990; Kocharov et al. 1992) und möglicherweise auch Supernovaexplosionen (Lingenfelter & Ramati 1970; Sonett 1992) hervorgerufen werden.
Abb. 4: Isotopenverschiebung und Veränderungen der Sonnenaktivität über die letzten 1000 Jahre. (Nach Hood & Jirikovic 1990)

Neben dem kurzwelligen elfjährigen Zyklus der Sonnenflecken (Stuvier & Quai 1980; Fan et al. 1986) sind v.a. Langzeitschwankungen der Sonnenaktivität wie der 200-Jahreszyklus (die sog. "Suess-Wiggles") diskutiert worden (Stuvier & Quai 1980; Sonett 1984; Hood & Jirikowic 1990; Kocharov et al. 1992). Zeiten, in denen die Sonnenaktivität ein länger anhaltendes Minimum aufwies - ein Beispiel ist das sog. "Maunder-Minimum" um 1700 - scheinen ebenfalls mit entsprechenden Perioden der Isotopenverschiebung zu korrelieren (Hood & Jirikowic 1990; Kocharov 1992; vgl. Abb. 3).
Abb. 5: Geschätzte Gesamtmenge der in verschiedenen Formen auf der Erde vorkommenden Kohlenstoffs. (Nach Berner & Lasaga 1989)

Ein verglichen mit den Schwankungen der Sonnenaktivität größerer Einfluß auf die 14C-Bildungsrate wird zeitlichen Intensitätsschwankungen des Erdmagnetfeldes zugeschrieben (Kigoshi & Hasegawa 1966; Damon & Limick 1986; Mazaud et al. 1991; Sternberg 1992; Sternberg & Damon 1992; Hagstrum & Champion 1995). Das Erdmagnetfeld hat eine Abschirmwirkung gegenüber der kosmischen Strahlung. Nimmt die Intensität des Magnetfeldes zu, so sollte dies den Abschirmeffekt verstärken und folglich die 14C-Bildungsrate vermindern. Dipolmoment und 14C-Bildung sollten also miteinander korreliert sein (Abb. 4).
Abb. 6: Isotopenverschiebung und Veränderungen des Dipolmomentes des Erdmagnetfeldes über die letzten 10000 Jahre. (Nach Stuvier et al. 1991)

Nur ein geringer Teil des globalen Kohlenstoffs befindet sich im aktiven Kohlenstoffreservoir (vgl. Abb. 1), in dem eine Durchmischung zwischen nichtradioaktivem 12C und aktivem 14C erfolgt. Zum aktiven Reservoir zählen v.a. das Kohlendioxid der Atmosphäre und die Biosphäre. Der Rest ist im passiven Reservoir gespeichert (Tabelle 2). Zu letzterem gehören die anorganischen Karbonate, z.B. Kalkstein, und organische Stoffe wie Kohle oder Erdöl. Im Gegensatz zum Kohlenstoff des aktiven Reservoirs enthält der Kohlenstoff des passiven Reservoirs kein "modernes" 14C. Durch Verwitterung, Vulkanausbrüche oder die Nutzung fossiler Brennstoffe kann nun ein Teil dieses Kohlenstoffs ins aktive Reservoir gelangen und dort zu einer Verringerung des 14C/12C-Verhältnisses führen. Auf der anderen Seite geht Kohlenstoff aber auch z.B. bei der Umwandlung von Silikaten in Karbonate vom aktiven ins passive Reservoir über (Berner & Lasaga 1989).
Die wichtigsten bekannten Faktoren, die über die Veränderung des 12C-Volumens im aktiven Kohlenstoffreservoir eine globale Isotopenverschiebung bewirkt haben, sind die extensive Verbrennung fossiler Energieträger im Industriezeitalter und globale Klimaveränderungen insbesondere in vorgeschichtlicher Zeit.
Abb. 7: Isotopenverschiebung infolge der Freisetzung fossiler Brennstoffe im Industriezeitalter, "Suess-Effekt". (Nach Stuvier & Quay 1981)

Die Freisetzung fossiler Brennstoffe wie Kohle, Erdöl und Erdgas hat seit etwa 1850 zu einer weltweiten Absenkung des 14C/12C-Gleichgewichtes geführt (Abb. 5). Nach seinem Erstentdecker (Suess 1955) wird dieser Faktor auch als "Suess-Effekt" bezeichnet. Eine Konsequenz des Suess-Effektes ist, daß bei der heutigen 14C-Datierung allgemein das 14C/12C-Verhältnis des vorindustriellen Zeitalters zugrundegelegt wird. Konkret wird der Wert für das Jahr 1850 verwendet, der an Holz aus dieser Zeit gemessen wurde.
Abb. 8: Zusammenhang zwischen dem Klimaindikator d18O und der Kohlendioxidkonzentration in der Atmosphäre. (Nach Leuenberger et al. 1992)

Die Löslichkeit von Kohlendioxid in den Ozeanen nimmt mit sinkender Temperatur zu. Bei globaler Abkühlung, z.B. während der Kaltzeiten, sollte dies dazu führen, daß der Atmosphäre Kohlendioxid entzogen wird. Über diesen Mechanismus wirken sich globale Klimaschwankungen auf das atmosphärische 14C/12C-Gleichgewicht aus. Abb. 6 zeigt beispielhaft die CO2-Konzentration der Atmosphäre und die relative Veränderung des Verhältnisses der Sauerstoffisotope 18O/16O, d18O, das allgemein als Klimaindikator angesehen wird, am Übergang von der letzten Kaltzeit zum heutigen Klima (nach Leuenberger et al. 1992; ähnliche Ergebnisse haben Edwards et al. (1993) und Goslar et al. (1995) publiziert). CO2-Konzentration und d18O können in Hohlräumen im antarktischen Eis ermittelt werden, wo sie über Jahrtausende "eingefroren" waren. Die CO2-Konzentration kann auf theoretischem Wege mit der 14C-Isotopenverschiebung korreliert werden (Lal & Revelle 1984).
Von lokaler Bedeutung für die Isotopenverschiebungen sind sog. Reservoireffekte, v.a. in den Weltmeeren. In den einzelnen Reservoirs herrschen unterschiedliche Diffusionsbedingungen für das 14C. Es wurde bereits darauf hingewiesen, daß sich die Zeiten für die Durchmischung der Atmosphäre und der Weltmeere um Größenordnungen unterscheiden. Dies hat zur Folge, daß sich in den einzelnen Reservoirs unterschiedliche 14C/12C-Gleichgewichte einstellen. 14C-Messungen an Proben aus dem Meer müssen darum anders korrigiert werden als Messungen an atmosphärischen Proben (Stuvier et al. 1986). Das Problem wird zusätzlich durch vertikale und geographische Durchmischungsgradienten der Ozeane verstärkt. Abb. 7 gibt ein Tiefenprofil der Isotopenverschiebungen wieder, Abb. 8 zeigt die geographische Verteilung der Isotopenverschiebung in den Weltmeeren. Beeinflußt werden diese Gradienten durch Meeresströmungen (Schlitzer 1986) und wahrscheinlich auch durch Einfließen terrestrischen Materials ins Meer (Druffel et al. 1986).
Abb. 9: Beispiel eines Tiefenprofiles der Isotopenverschiebung im Ozean. (Nach Gamo et al. 1987)

Über kalkhaltigen Meeresböden spielt der sog. "Hartwassereffekt" eine Rolle, der dadurch zustande kommt, daß anorganischer Kohlenstoff aus dem Bodensediment im Wasser gelöst wird. Die Folge sind stark verfälschte Altersmessungen von Meeresorganismen, die in diesem Gebiet leben (Lee 1981). Der Hartwassereffekt ist insbesondere aus Küstengewässern bekannt, vergleichbare Effekte werden aber auch für die Tiefsee berichtet (Keir 1984).
Abb. 10: Geographische Verteilung der Isotopenverschiebung von Tiefseeproben. (Nach Stuvier et al. 1983)

Der Reservoireffekt der Weltmeere ist für die Archäologie von untergeordneter Bedeutung, in manchen Binnengewässern sind jedoch ähnliche Isotopenverschiebungen wie in den Ozeanen nachweisbar. So wurde beispielsweise die Anreicherung von Quellwasser mit 14C-armen Kohlenstoff aus dem Untergrund beschrieben (Riggs 1984). Die Zunahme der 14C-Aktivität eines Flusses entlang seines Laufes führen Srdoc et al. (1986) auf einen Kohlenstoffaustausch mit der Atmosphäre bei der Verwirbelung des Wassers zurück. Das viel zu geringe 14C/12C-Gleichgewicht im Oberlauf hat der Fluß von seiner Quelle in einer Karstlandschaft geerbt. Fishman et al. (1977) vermuteten aufgrund von systematischen Unterschieden in den 14C-Altern von Holz, Holzkohle und Gras aus der Pharaonenzeit, das in der Nähe des Nil oder seines Überschwemmungsgebietes gewachsen ist, daß das Gras gelösten anorganischen Kohlenstoff aus dem Fluß aufgenommen haben könnte und dadurch zu hohe Alter vorgetäuscht werden. Auch für Schalengehäuse von landlebenden Schnecken sind anormale Alter ermittelt worden (Goodfriend 1987).
Aktive und ruhende Vulkane gasen permanent Kohlendioxid aus. Da dieses aus dem Erdinneren stammt, enthält es keinen 14C-Anteil. Pflanzen aus der Umgebung eines Vulkans sollten darum zu hohe Alter vortäuschen. Vor dem Hintergrund des Konfliktes zwischen archäologischen und 14C-Altern im östlichen Mittelmeerraum kommt der Datierung der Eruption des Santorin eine gewisse Schlüsselrolle zu (Kuniholm et al. 1996; Baillie 1991; Warren 1991; Lasken 1992; vgl. auch Bruins & van der Plicht 1996). Dieses Problem soll darum an anderer Stelle gesondert abgehandelt werden. Santorin ist der moderne Name für Thera, der Insel, auf der im Altertum die minoische Stadt Akrotiri stand.
Als eine der Grundvoraussetzungen für die 14C-Datierung war ein globales Gleichgewicht des 14C/12C-Verhältnisses in der Atmosphäre und der terrestrischen Biosphäre genannt worden. Diese Annahme ist jedoch in Wirklichkeit nicht ganz zutreffend. An der Atmosphäre lebende Pflanzen weisen einen etwas geringeren Anteil an 14C auf, als die sie umgebende Luft. Die Ursache dafür wird als "Isotopenfraktionierung" bezeichnet. Lebende Pflanzen neigen aus noch nicht geklärter Ursache dazu, die leichteren Kohlenstoffisotope bevorzugt aufzunehmen, d.h., sie bevorzugen das 12C gegenüber dem schwereren 13C und noch mehr gegenüber dem noch schwereren 14C. Das Problem wird zusätzlich verschärft, weil der Effekt von Spezies zu Spezies unterschiedlich ausgeprägt ist. Bei Tieren richtet sich der Grad der Isotopenfraktionierung nach der Art ihrer Nahrungsquelle. Anders als die terrestrische Biosphäre neigt die maritime Biosphäre nur in geringem Maße zur Bevorzugung bestimmter Kohlenstoffisotope.
Der Effekt der Isotopenfraktionierung muß berücksichtigt werden, wenn Fehler bei der Datierung vermieden werden sollen. Die Möglichkeit dazu bietet die zusätzliche Ermittlung des 13C/12C-Verhältnisses in der Probe. Dies ist, da beide Isotope stabil sind, anders als das 14C/12C-Verhältnis seit dem Absterben der Probe konstant geblieben. Das 13C/12C-Verhältnis ist von Probe zu Probe anders, was auf die verschieden stark ausgeprägte Neigung zur Isotopenfraktionierung hindeutet. Um den Effekt quantifizieren zu können, wird die gemessene 13C-Konzentration auf ein als PDB bezeichnetes Standardmaß bezogen, das für das 13C/12C-Verhältnis in einem kreidezeitlichen Belemnit (Donnerkeil) aus South Carolina steht:
(4) 
Ungefähre d13C-Werte liegen für Holz, Torf und eine Reihe von Pflanzen bei -25 0, für Wüstengras bei -13 0, für Süßwasserpflanzen bei -16 0 und für atmosphärisches Kohlendioxid -8 0. Diese Werte sind aber von erheblichen Streuungen überlagert.
Die Annahme ist nun, daß der Effekt der Isotopenfraktionierung beim 14C aufgrund des Massenverhältnisses gegenüber 12C doppelt so groß ist wie beim 13C. Etwas vereinfacht läßt sich damit aus dem in der Probe ermittelten Alter, tm, ein korrigiertes Alter, tc, als
(5) 
bestimmen. In modernen Labors wird die Korrektur auf Isotopenfraktionierung routinemäßig durchgeführt.
Unter in situ-Produktion soll nachfolgend die Erzeugung von 14C außerhalb der oberen Atmosphäre bezeichnet werden. Verschiedene Mechanismen, denen hinsichtlich der 14C-Datierung unterschiedlich große Bedeutung zukommt, tragen dazu bei.
Vergleichsweise starken Einfluß hatten in den 50er und 60er Jahren des 20 Jahrhunderts durchgeführten überirdische Kernwaffentests (Harkness 1986; Dai & Fan 1986; Kaimel et al. 1992). Ein Beispiel illustriert Abb. 9. Pflanzliches Material, das seit der Mitte der 50er Jahre gewachsen ist, wies aufgrund dieses Effektes noch vier Jahrzehnte später eine um etwa 20% erhöhte 14C-Konzentration auf (Bowman 1995).
Abb. 11: Isotopenverschiebung infolge überirdischer Kernwaffentests in den 50er und 60er Jahren des 20. Jahrhunderts. (Nach Cain 1979)

In situ erzeugtes 14C wird in geringem Maße auch in der Nähe von Erzlagerstätten aus uranhaltigem Material gebildet (Barker et al. 1985; Jull et al. 1987). Nach Grootes (1992) ist ein merklicher Effekt aber erst oberhalb von gemessenen Altern von 80.000 Jahren zu erwarten.
Ein gewisser Effekt wird auch der Höhenlage eines Fundes beigemessen (Jull et al. 1992). Die Erdatmosphäre fungiert als Schutzschild gegenüber kosmischer Strahlung. Je größer der Weg ist, den die kosmische Strahlung durch die Atmosphäre zurücklegen muß, desto ausgeprägter ist auch dieser Abschirmeffekt. Das hat aber umgekehrt zur Folge, daß das 14C/12C-Gleichgewicht im Gebirge etwas höhere Werte aufweist als im Tiefland. Der kosmische Strahlenfluß ist in 3.000 m Höhe um eine Größenordnung stärker als auf Meeresspiegelniveau; verglichen mit dem Fluß in der höheren Atmosphäre, wo der Hauptanteil des 14C gebildet wird, beträgt er aber nur etwa 1/30. Der Höheneffekt ist v.a. in den Anfangsjahren der 14C-Kalibrierung diskutiert worden, da die Borstenkiefern, die zuerst für die Erstellung von Kalibrierkurven genutzt wurden, im Gebirge gewachsen waren (vgl. die Ausführungen in zweiten Teil in der Folgenden Ausgabe).
Eine weitere Quelle für die in situ-Produktion von 14C sind Blitze in der Atmosphäre. Bei der elektrischen Entladung werden Neutronen freigesetzt, die, wie in der oberen Atmosphäre, mit dem Stickstoff der Luft 14C bilden können. Laborversuche in Reaktoren, die den Einfluß des Neutronenflusses auf die in situ-Produktion von 14C auf Holz simulieren sollten, erbrachten jedoch keinen nennenswerten Effekt.
Lediglich der Vollständigkeit halber sei die Rekristallisation von Karbonaten in Kalkschalen erwähnt, die ohne Austausch mit dem Kohlenstoff der Umgebung ablaufen kann. Auch dieser Mechanismus ist nur von geringer Bedeutung für die Isotopenverschiebung (Bowman 1995).
Verunreinigungen mit artfremdem Kohlenstoff
Prinzipiell sind alle Materialien, die einmal zur Biosphäre gehört haben, d.h. alle organischen Stoffe, deren Alter unterhalb der Meßgrenze der Methode (ca. 50.000 - 60.000 Jahre) liegt, mittels 14C datierbar. Typische Beispiele sind Pflanzenreste, Holz, Holzkohle, Knochen und Muscheln. Für die Archäologie wichtig sind auch Holzkohleeinschlüsse in Schmiedeeisen und Nahrungsmittelresten sowie organische Zusätze in Keramik. Von Bedeutung sind ferner im Wüstenklima, im Eis oder unter Wasser erhaltene Überbleibsel von Stricken, Kleidungsstücken, Stroh oder Samen und viele andere Materialien wie Geweihsprossen, Horn, Zähne, Elfenbein, Haar, geronnenes Blut, Wolle, Seidenfasern, Leder, Papier, Pergament, Insekten und Korallen (Bowman 1995).
Die Anwendung von Gl. (3) zur Altersbestimmung setzt voraus, daß seit dem Absterben kein Kohlenstoff aus der Umgebung mehr in die Probe eindringen konnte, bzw. daß diese Verunreinigung vor der Messung beseitigt werden kann. Unerkannte oder nicht entfernte Verunreinigungen wirken sich auf das Datierungsergebnis in der Regel sehr viel stärker aus als die Effekte aus der Isotopenverschiebung. Eine wesentliche Rolle spielt in diesem Zusammenhang die Umgebung, in der eine Probe vorgefunden wurde. So ist die Wahrscheinlichkeit einer Verunreinigung sehr viel geringer, wenn das Material in einem abgeschlossenen Raum, vielleicht sogar in einem verschlossenen Krug in einer Wüstenregion gefunden wurde, als wenn es in feuchtem Erdreich eingebettet war. Auch die Beschaffenheit des Materials selbst ist von Bedeutung, da die Materialien auf Grund ihrer verschiedenartigen Konsistenz in unterschiedlichem Maß die Einlagerung von Fremdkohlenstoff begünstigen. Besonders anfällig sind Knochen und Kalkschalen, während Holz und Holzkohle vergleichsweise wenig zu Verunreinigungen neigen.
Die Verunreinigung kann durch 14C-armen "alten" oder auch durch 14C-reichen "modernen" Kohlenstoff geschehen. Entsprechend werden zu hohe bzw. zu niedrige Alter vorgetäuscht. Beispielsweise kann das Kalziumkarbonat des Kalksteins im Grundwasser in Lösung gehen und so von Pflanzen aufgenommen werden. Kalkstein ist anorganischen Ursprungs, enthält also von Hause aus überhaupt kein 14C. Ähnlich kann im Boden gelöste Humussäure in der Nähe von Gräbern je nach ihrer Herkunft die gemessenen Alter in beiden Richtungen verfälschen (Bowman 1995). Bei Knochen, Holz, und Kalkschalen kommt als Verunreinigungsquelle auch ein Kohlenstoffaustausch mit der Atmosphäre in Betracht. Untersuchungen haben ergeben, daß aufgrund dieses Effektes 14C-Alter von der chemischen Beschaffenheit der Bausteine des Holzes anhängen können (Olsson & Possnert 1992).
Mögliche Verunreinigungen können auch beim Transport und bei der Lagerung von Proben sowie im Labor auftreten (Hedges 1992). So kann beispielsweise die Verpackung in Zeitungspapier oder Holzwolle oder auch das Rauchen eine Verunreinigung bewirken. Vorsicht ist in diesem Zusammenhang bei der Datierung von Museumsstücken geboten, bei denen die Fund- und Lagerumstände häufig nicht mehr nachvollziehbar sind.
Die verfügbaren Reinigungsverfahren der Proben müssen sowohl auf die Art der angenommenen Verunreinigung als auch auf die Beschaffenheit der zu reinigenden Probe abgestimmt sein. In vielen Fällen werden anorganische Verunreinigungen, nachdem die Proben mechanisch vorgereinigt wurden (Entfernung von Wurzelteilen u.ä.), in Säurebädern herausgewaschen. Organische Verunreinigungen versucht man durch abwechselnde Bäder in verdünnten Laugen und Säuren zu entfernen.
Eine effektive Methode ist die Zerlegung der Probe in ihre chemischen Grundbausteine. So gilt die Zellulose als der Bestandteil des Holzes, der am wenigsten zur Verunreinigung neigt (Olsson & Possnert 1992). Da die Extraktion der Zellulose aber mit einem nicht geringen Aufwand verbunden ist und dazu ein größeres Probenvolumen erfordert, wird häufig darauf verzichtet. Einfacher gestaltet sich die Vorbehandlung von Holzkohle. Da das nach der Verbrennung zurückbleibende Material chemisch weitgehend inert ist, genügt eine Behandlung in Laugen- und Säurebädern zur Entfernung des chemisch nicht gebundenen Kohlenstoffs.
Was die Zellulose für das Holz ist, ist das Kollagen für die Knochen. Allerdings gestaltet sich die Entfernung von artfremdem Kohlenstoff in Knochen sehr viel schwieriger als bei Holz und ist ein bis heute nicht durchgängig gelöstes Problem (Hedges & van Klinken 1992). Knochen sollten in archäologischem Kontext deshalb nur dann zur Datierung herangezogen werden, wenn eine Verunreinigung aufgrund der Fundumstände weitgehend ausgeschlossen werden kann. Ähnliches gilt für Torf, für Böden und für Kalkschalen (Gillespie et al. 1986; Scharpenseel & Becker-Heidmann 1992), die darum in der Archäologie auch nur eine untergeordnete Rolle spielen.
Die Kenntnis über die Wirkungsweise der Verunreinigung von Proben und die Verfahren der Probenvorbehandlung wurden im Laufe der letzten Jahrzehnte immer mehr verfeinert. Das bedeutet aber umgekehrt, daß ältere Messungen aus der Anfangszeit der 14C-Datierung mit einer gewissen Skepsis zu betrachten sind. Vor dem Hintergrund der im vorliegenden Aufsatz diskutierten Fragestellung ist dies bei der Bewertung älterer Datensammlungen aus den 60er und 70er Jahren zu berücksichtigen.
Die Radiokarbonmessung
Die eigentliche 14C-Messung kann konventionell mittels Zählrohrmethode oder moderner mittels Teilchenbeschleuniger (AMS-Methode) durchgeführt werden. Die beiden Verfahren unterscheiden sich fundamental. Die Zählrohrmethode nutzt den Umstand, daß das 14C beim radioaktiven Zerfall ß-Strahlung, d.h. Elektronen emittiert (Gl. 2). Da die Teilchen elektrisch negativ geladen sind, kann die ß-Strahlung sehr einfach mit Zählrohren nachgewiesen werden. Meßwert ist die Anzahl der auf den Detektor auftreffenden Elektronen pro Zeiteinheit, die Zerfallsrate. Neben Zählrohren finden auch Szintilatoren Anwendung, bei denen Lichtimpulse aufgenommen werden, die beim Auftreffen von 14C-Teilchen beispielsweise auf eine Gaswolke ausgelöst werden. Frühe 14C-Messungen nutzten die Proben im festen Zustand. Seit den 50er Jahren kamen zunehmend Verfahren in Gebrauch, bei denen gasförmige (v. a. CO2) und flüssige Proben untersucht wurden (Bowman 1995). Für letzteres ist eine entsprechende chemische Umwandlung der Proben erforderlich. Ein wesentliches Problem der Zählrohrmethoden stellt die Hintergrundstrahlung aus der Umgebung dar, die von geringen Mengen Thorium, Uran oder radioaktivem Kalium (40K) in Baumaterialien ausgeht. Die Abschirmung gegen diese Gebäudestrahlung geschieht durch Blei- oder Stahl-Ummantelungen, die Abschirmung gegen die energiereichere kosmische Strahlung erfordert massivere Maßnahmen, wie die Verlegung der Labors tief unter die Erdoberfläche (Bowman 1995). Die trotz all diesen Maßnahmen von außen in das System eindringende Strahlung bestimmt die Anwendungsgrenze der Zählrohrmethoden, die derzeit bei maximalen Altern in der Größenordnung von etwa 40.000 Jahren liegt (Gulliksen & Thomsen 1992). Ein wesentlicher Nachteil gegenüber der moderneren AMS-Technik ist ein sehr viel größeres benötigtes Probenvolumen. Hauptvorteil ist der geringere Preis einer Messung.
Im Gegensatz zu den Zählrohrmethoden wird bei der seit dem Ende der 70er Jahre entwickelten AMS-Technik nicht die Elektronenstrahlung beim radioaktiven Zerfall, sondern die Anzahl der 14C-Atome in der Probe ermittelt (Gove et al. 1987). AMS steht für "Accelerator Mass Spectrometry". Wird ein beschleunigtes Teilchen einem Magnetfeld ausgesetzt, so wird es aus seiner linearen Bahn ausgelenkt, und zwar aufgrund der unterschiedlichen Massenträgheit umso mehr, je leichter es ist (Abb. 10). Teilchen mit verschiedener Atommasse wie 12C-, 13C- und 14C-Teilchen werden so auf unterschiedliche Bahnen gebracht und von Detektoren, die in abgestuften Winkeln positioniert sind, gesondert registriert. Bedingung für die 14C-Messung ist eine außerordentlich hohe Beschleunigung der Partikel, die eine Trennung der Kohlenstoffisotope von anderen Teichen mit ähnlichem Gewicht wie 14N oder 13CH erlauben. In der Regel werden dazu sog. Tandem-Beschleuniger verwendet. Der wichtigste Vorteil der AMS-Technik ist die Datierbarkeit sehr kleiner Proben. Im Schnitt ist die erforderliche Probengröße tausend mal geringer als bei den Zählrohrtechniken (Bowman 1995). Probenmassen in der Größenordnung von 50-100 mg bei Holz, 200-500 mg bei Holzkohle oder 20-50 mg bei Textilien erlauben die Datierung von Proben, die sonst aufgrund des viel größeren benötigten Meßvolumens zerstört würden, zumal zusätzlich noch ein möglicher Materialverlust bei der Probenvorbehandlung in Rechnung zu stellen ist. Ein weiterer Vorteil ist die zusätzlich "abfallende" Messung des 13C, eine Information, die für die Korrektur auf Isotopenfraktionierung in lebenden Organismen erforderlich ist (s. o.). Die Meßgrenze bei der AMS-Methode wird durch die Stabilität der Anlage und nicht vermeidbare Verunreinigungen bei der Probenpräparation gesetzt. Sie liegt mit 40-50 Tausend Jahren etwas höher als bei den konventionellen Verfahren (Gulliksen & Thomsen 1992; Hedges 1992).
Abb. 12: Prinzipskizze eines Massenspektrometers. (Nach Bowman 1995)

Die Untergrenze meßbarer 14C-Alter liegt aufgrund der massiven Freisetzung von Kohlendioxid bei der Verbrennung fossiler Rohstoffe seit dem Beginn des Industriezeitalters und der Effekte überirdischer Kernwaffentests in den 50er und 60er Jahren des 20. Jahrhunderts bei etwa 200 Jahren.
Korrektur und Dokumentierung von 14C-Altern
Abb. 11 gibt eine Übersicht über eine vollständige 14C-Datierung. In den vorausgegangenen Abschnitten wurden bereits einige Ausführungen zur Probennahme und -vorbehandlung und zur eigentlichen 14C-Messung, d.h. der Bestimmung der Aktivität bzw. des 14C/12C-Verhältnisses gemacht. Das so ermittelte 14C-Alter wird als "unkalibriertes" Alter bezeichnet. Erwähnenswert ist in diesem Zusammenhang, daß das unkalibrierte Alter vereinbarungsgemäß nicht auf der Grundlage der heute etablierten Halbwertzeit, tH, von 5.730±40 Jahren, sondern auf der Grundlage einer Halbwertzeit von 5568 ± 30 Jahren bestimmt wird. Dieser Wert hatte den frühen 14C-Datierungen vor 1962 zugrundegelegen (Faure 1986). Seine Anwendung erlaubt einen direkten Vergleich der vor und nach diesem Zeitpunkt ermittelten Daten. Der Datierungsfehler aufgrund der alten Halbwertszeit beträgt etwa 3%, was aber nicht zu Buche schlägt, da die Daten ohnehin noch kalibriert werden müssen.
Abb. 13: Verfahrensablauf bei der 14C-Datierung

Zunächst wird standardgemäß mittels Gl. (5) eine Korrektur auf Isotopenfraktionierung vorgenommen. Unter Kalibrierung versteht man eine Korrektur hinsichtlich der Isotopenverschiebung. Abb. 12 zeigt gängige Kalibrierkurven. Probleme der Kalibrierkurven werden im nächsten Teil dieses Beitrags noch eingehender diskutiert. Die kalibrierten 14C-Alter werden zur Unterscheidung von den nichtkalibrierten auch als kalendarische Alter bezeichnet.
Abb. 14: 14C-Kalibrierungskurven. (Nach Stuvier et al. 1986)

Die Dokumentierung von 14C-Daten weist einige Besonderheiten auf:
a) In der Regel werden die unkalibrierten Daten wiedergegeben, zumeist allerdings durch die kalibrierten oder kalendarischen Alter ergänzt.
b) Werden die Alter als BP (before present) angegeben, dann bedeutet das: vor 1950 n. Chr.
c) Als Meßfehler wird, wenn nicht ausdrücklich anders vermerkt, eine Standardabweichung (der Normalverteilung) angegeben. Dieser statistische Fehler bezieht sich nur auf die Messung, gelegentlich ist er durch einen Fehlermultiplikator erhöht (s.u.). Systematische Abweichungen vom tatsächlichen Alter der Probe schließt er naturgemäß nicht mit ein.
d) Das Ergebnis und die Standartabweichung der Messung werden je nach Altersintervall auf einen anderen Wert gerundet. Die Rundungsintervalle sind:
1-1000 Jahre: Rundung auf 1 Jahr
1000-2000 Jahre: Rundung auf 5 Jahre
2000-10000 Jahre: Rundung auf 10 Jahre
10000-20000 Jahre: Rundung auf 50 Jahre
> 20000 Jahre: Rundung auf 100 Jahre
Hinsichtlich des Meßfehlers ist es wichtig, zwischen den Begriffen Genauigkeit (accuracy) und Präzision (precision) zu unterscheiden. Die Präzision bezieht sich auf den Meßfehler, der bei der technischen Ermittlung der Aktivität bzw. des 14C/12C-Verhältnisses in einem Labor entsteht. Er ist ein Maß für die interne Konsistenz in einem Labor. Eigentlich müßte die Präzision durch wiederholte Messungen an ein und derselben Probe bestimmt werden. Dies ist aber in vielen Fällen nicht realistisch, weshalb der Wert oft vereinfacht aus den Gegebenheiten der Meßanlage abgeschätzt wird. Die Folge ist gelegentlich eine deutliche Unterschätzung des Meßfehlers (Stuvier & Pearson 1992), was bei der Anwendung von Hochpräzisions-Kalibrierkurven auf archäologische Proben fatale Folgen haben kann, wie im Abschnitt 3 noch diskutiert werden wird.
Die Genauigkeit ist ein Maß für die Unterschiede zwischen verschiedenen Labors bei der Datierung desselben Probenmaterials. Die dabei auftretenden Abweichungen sind naturgemäß größer als der Meßfehler in nur einem Labor. Ermittelt wird die Genauigkeit in internationalen Ringversuchen, die von Zeit zu Zeit wiederholt werden. Ziel solcher Versuche ist einerseits die Identifizierung größerer Abweichungen einzelner Labors, andererseits die Abschätzung eines Fehlermultiplikators, der als Sicherheitsbeiwert dem laborinternen Meßfehler hinzugefügt werden sollte. Stuvier & Pearson sahen 1992 einen Wert von 1,7 für einen Bereich von bis zu 8000 14C-Jahren als hinreichend konservativ an. Im Zuge einer weiteren Verbesserung der Meßtechnik ist zu erwarten, daß dieser Wert weiter gesenkt werden kann.
Letzte Änderung: 28.01.2009 •