Tintenfische – erstaunliche Tiere mit auffälligem Genom

Autor/innen

  • Harald Binder
2025-12-22

Downloads

Tintenfische mit ihrem speziellen Aussehen und besonderen Verhalten wecken immer wieder das Interesse von Forschern. Vor allem das umfangreiche und komplexe Genom (Erbgut) steht in diesem Zusammenhang im Fokus. Dabei stellt sich heraus, dass das Erbgut von Tintenfischen auffällige Abweichungen von anderen Genomen in Aufbau und Organisation aufweist.

Mit einem Stern* ver­sehene Begriffe werden im Glossar erklärt.

Tintenfische sind nicht nur für Freunde der mediterranen Küche als geschätztes Nahrungsmittel von Bedeutung, sie haben mit ihren Nervenzellen, den Riesenaxonen, auch in der Forschungsgeschichte der Neurologie eine grundlegende Rolle gespielt. In jüngerer Zeit wurden verschiedentlich auffällige Verhaltensweisen von Tintenfischen untersucht und einer breiteren Öffentlichkeit bekannt wie z. B. die Fähigkeit, sich rasch unter farblicher Anpassung in wechselnder Umgebung zu tarnen oder auch durch ihren Einsatz als „Orakel“ für Fußballspiele.

Tintenfische (Coleoidea) werden taxonomisch als Unterklasse der Kopffüßer (Cephalopoda) geführt und gehören zum Stamm der Weichtiere (Mollusca). Zu den Tintenfischen gehören neben den ausgestorbenen Belemniten die achtarmigen (Vampyropoda) und die zehn­armigen Tintenfische (Decabrachia). Zu Letzteren zählen u. a. Sepien (Sepiida), deren Lebensraum v. a. am Meeresboden ist, und Kalmare (Teuthida), die im freien Meerwasser zuhause sind. Zu den achtarmigen Tintenfischen gehören beispielsweise Kraken (Octopoda) (vgl. Abb. 1).

Figure 1. Abb. 1 Beispiele für die Vielfalt der Tintenfische (von links oben): Ausgestorbener Belemnit Clarkeiteuthisconocauda aus dem Unterjura in Holzmaden (Baden-Württemberg), der acht­armige Vampirtintenfisch (Vampyroteuthisinfernalis), der achtarmige Gewöhnliche Krake (Octopus vulgaris) und der zehnarmige Gewöhnliche Tintenfisch (Sepia officinalis). (Wikimedia: Ghedoghedo, CC BY-SA 3.0; Internet Archive Book Images, CC0; Beckmannjan, CC BY-SA 3.0; © Hans Hillewaert, CC BY-SA 4.0)

Das Interesse vieler Forscher gilt den genetischen Grundlagen der auffälligen Merkmale und Fähigkeiten von Lebewesen und deren Verknüpfung. So wurden auch bereits Untersuchungen zum Erbgut von Tintenfischen veröffentlicht. Die dabei gewonnenen Daten wurden so interpretiert, dass das Tintenfischgenom in der Vergangenheit im großen Stil umorganisiert worden ist, d. h. die Gene wurden im Laufe der mutmaßlichen Evolutionsgeschichte auf den Chromosomen neu angeordnet und damit in eine neue Umgebung gebracht. Dies ist bemerkenswert angesichts der Beobachtungen, dass die lokale Anordnung vieler Gene im Genom bei vielzelligen Tieren (Metazoa) typischerweise ähnliche Module (Mikrosyntänie) aufweist (Binder 2023). Um diese weitgehende Umorganisation des Tintenfischgenoms und die damit verknüpfte Veränderung der Biologie dieser Cephalopoden besser zu verstehen, haben Schmidbaur et al. (2022) das Genom des Zwergtintenfisches (Euprymnascolopes, Abb. 2) mit verschiedenen Methoden untersucht. Diese Untersungungen ermöglichen, auch die 3-dimensionale Organisation des Genombereichs im Chromosom zu erkennen. Aus den erhaltenen Daten konnten 46 Chromosomengerüste von E. scolopes rekonstruiert werden. Die Verknüpfung der Gene darauf verglichen die Autoren mit derjenigen von 24 anderen Tierarten (von Schwämmen bis zu Wirbeltieren).

Figure 2. Abb. 2 Ein erwachsener zehnarmiger Zwergtintenfisch Euprymnascolopes (engl. „Hawaiian bobtail squid“). Wissenschaftler haben die 3-D-Struktur seines Genoms untersucht. (Wikimedia: Margaret McFall-Ngai, CC BY 4.0)

Mikrosyntänie-Blöcke bestehen nach der von Schmidbaur et al. getroffenen Definition aus mindestens drei gemeinsam vorkommenden orthologen* Genen; sie können bis zu fünf weitere Gene in beliebiger Reihenfolge enthalten. Die Autoren fanden 505 Mikrosyntänien, die nur in E. scolopes und mindestens einem Oktopus, aber nicht bei anderen Tieren vorkamen. Nur 48 von insgesamt 2290 Genen in diesen 505 Blöcken betrachten sie als sogenannte Waisengene („orphan-genes“), d. h. man findet außerhalb der Cephalopoden keine ähnlichen (homologen) Gene, sie tauchen neu auf; alle anderen weisen orthologe Gene in anderen Tieren auf. Die Anzahl von hochkonservierten Mikrosyntänien versuchten die Autoren abzuleiten, indem sie Mikrosyntänien zwischen E. scolopesund mindestens sechs taxonomisch weiter entfernten Metazoen (mehrzellige Tiere) rekon­struierten (aus 23 Arten). Dabei erhielten sie 275 Mikrosyntänien unter den gewählten Metazoen. Daraus ergibt sich eine große Zunahme an Mikrosyntänien bei Tintenfischen im Vergleich mit anderen Tieren, was eine auffällige Besonderheit darstellt.

Die unter Metazoa verbreiteten Mikrosyntänien enthalten viele Gene, die die Signalübertragung betreffen. Die für Tintenfische spezifischen Mikrosyntänien dagegen betreffen die Translation*, Redoxprozesse*, Regulation des Zuflusses von Calcium-Ionen in Zellen, mRNA-Trennungen, Transport und die Organisation des Chromatins. Weiter stellten die Autoren fest, dass im Genom des Zwergtintenfisches die Entfernungen zwischen Genbereichen (Domänen), die sich gegenseitig beeinflussen (Regulation), im Vergleich zu Wirbeltieren größer sind. Das bedeutet, dass sie leichter und von unterschiedlichen Faktoren für ihre Regulation zugänglich sein könnten.

Das Genom der Tintenfische weist im Vergleich zu anderen Tieren massive Änderungen in der Organisation auf.

In ihrer Untersuchung konnten Schmidbaur et al. (2022) detailliert dokumentieren, dass das Genom der Tintenfische im Vergleich zu anderen Tieren massive Änderungen in der Organisation aufweist. Dies betrifft sowohl die Anordnung auf den Chromosomen als auch die dadurch beeinflusste Regulation der Gene. Die vermuteten regulatorischen Sequenzbereiche befinden sich oft in den Introns* innerhalb derselben Mikrosyntänie-Blöcke. Die Resultate weisen darauf hin, dass die neuen Mikrosyntänien bei den Tintenfischen vor allem mit ihrem Nervengewebe und den Tintenfisch-spezifischen Organen in Verbindung stehen. Die Autoren konnten damit einen Zusammenhang zwischen der Bedeutung der Mikrosyntänien und den für Tintenfische spezifischen Besonderheiten nachweisen.

In einer weiteren Veröffentlichung dokumentierten Albertin et al. (2022) ihre Untersuchung des Genoms von Tintenfischen, wobei sie aufgrund von bekannten Erkenntnissen ein Augenmerk auf die Modifikationen der RNA (RNA-editing) legten. Dazu sequenzierten sie das Erbgut eines Kalmars (Doryteuthispealeii, Abb. 3) und ermittelten die entsprechenden Transkriptionsdaten* (RNA-Sequenzen) aus 25 verschiedenen Gewebetypen eines Individuums, um die RNA-Editierung dokumentieren zu können. Für eine bessere Interpretation stellten die Autoren auch die chromosomale Verteilung des Genoms des Kalifornischen Zweipunktkraken (Octopusbimaculoides) und des Zwergtintenfisches (Euprymnascolopes) zusammen.

Die Chromosomen und die darauf verteilten Gene entsprechen sich auffällig unter den Tintenfischen, während sich gravierende Unterschiede zum Genom anderer Tiere zeigen.

Figure 3. Abb. 3 Auch das Erbgut dieser beiden Tintenfische wurde untersucht: Links der Kalmar Doryteuthispealeii(engl. „longfin inshore squid“) und rechts der Kalifornische Zweipunktkrake (Octopusbimaculoides). (Wikimedia SEFSC Pascagoula Laboratory, CC0; Jeremyse transferred from JohnnyMrNinja, CC0)

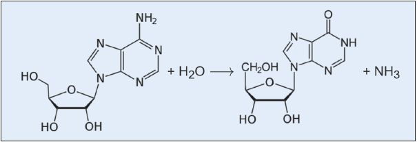
Aus dem umfangreichen Genom von D. pealeii von 4,6 Gb (Giga Basen; = 4,6 Milliarden Basenpaare; vgl. das Humangenom: 3,2 Gb) prognostizierten Albertin et al. 24.911 Gene, wovon 1597 nur Sequenzähnlichkeiten zu solchen aus anderen Cephalopoden aufweisen. Auch in dieser Arbeit betonen die Autoren die auffällige Entsprechung der Chromosomen und der darauf verteilten Gene (Syntänie) unter den Tintenfischen und ihren gravierenden Unterschied zum Genom anderer Tiere.Es ist bekannt, dass Cephalopoden in großem Umfang RNA-Sequenzen editieren (RNA-editing), indem von Adenosin (A) eine Aminogruppe entfernt wird und A somit zu Inosin (I) desaminiert wird (Abb. 4). I wird bei der Translation* als Guanosin (G) interpretiert und damit wird das entsprechende Gen umcodiert. Eine solche A-in-I-Editierung ist auch bei anderen Tieren beschrieben, aber bei Tintenfischen tritt sie um mehrere Größenordnungen häufiger auf.

Figure 4. Abb. 4 Die Desaminierung von Adenosin (unter Zugabe von Wasser) führt zur Bildung von Inosin, indem eine Aminogruppe entfernt wird. Inosin in der mRNA wird bei der Proteinherstellung (Translation) als Guanin interpretiert, was eine andere Aminosäuresequenz bei Proteinen zur Folge haben kann. Die A-in-I-Editierung erfolgt durch Enzyme (Adenosin-Desaminasen). Tintenfische betreiben diese Form der RNA-Editierung häufiger als andere Tiere. (Nach Wikipedia, https://de.wikipedia.org/w/index.php?title=Adenosin-Desaminase&oldid=21247207)

Die Untersuchung ergab schwerpunktmäßig zwei Bereiche, in denen RNA-Editierung stattfindet. Der allergrößte Teil ist in nichtcodierenden* Genombereichen lokalisiert. Möglicherweise beeinflussen sie dort mobile Genabschnitte – das legen zumindest bisherige Erkenntnisse aus Genomuntersuchungen an Wirbeltieren nahe. Des Weiteren findet A-in-I-Editierung in neuronalem Gewebe statt, auch wenn dort nicht ausschließlich spezifische neuronale Funktionen betroffen sind, sondern auch viele allgemeine Gene.

Schlussfolgerungen

Die hier vorgestellten Studien erweitern die Erkenntnisse über die auffälligen Besonderheiten in der Organisation und Funktion des Erbguts bei Tintenfischen und bestätigen die bisherigen Befunde. Sie unterstreichen, dass der typische und spezifische Körperbau und die besonderen Verhaltensweisen und Fähigkeiten dieser Tiere sich auch im Aufbau ihres Genoms widerspiegeln. Die Bemühungen der Autoren, diese auffälligen Unterschiede zu anderen Tieren evolutionär zu erklären, überzeugen nicht. Die markanten und umfangreichen Unterschiede sind nicht durch bekannte Evolutionsmechanismen plausibel zu machen. Die verschiedenen Vertreter der Coleoidea weisen untereinander ein ähnlich aufgebautes Genom auf, das sich jedoch deutlich von dem aller anderen Lebewesen unterscheidet. Diese Befunde passen gut zu einer Vorstellung, dass Lebewesen „nach ihrer Art“ von einem Schöpfer unabhängig voneinander ins Dasein gerufen wurden.

Glossar

Codierend/nicht codierend: Bereiche der DNA-Sequenz, die via RNA in Proteinsequenzen übersetzt werden; oder eben nicht übersetzt werden.

hochkonserviert: Weisen bei der DNA-Sequenzierung entsprechender Gene von verschiedenen Organismen die Nukleotidabfolgen auffallend wenige Unterschiede auf, dann werden diese Gene als hochkonserviert bezeichnet (bzw. eigentlich: interpretiert).

Intron: Nicht codierende DNA-Sequenz innerhalb eines codierenden Bereichs. Sie wird auf dem Weg zur „reifen” mRNA, die dann in eine entsprechende Abfolge von Aminosäuren übersetzt wird (➝ Translation), herausgeschnitten.

Orthologe Gene: Gene, die in verschiedenen Organismen vorkommen und eine hohe Ähnlichkeit in der Nukleotidsequenz aufweisen (evolutionär werden sie als ➝ „konserviert“ und als Hinweis auf einen gemeinsamen Vorfahren interpretiert).

Redoxprozesse: Reaktionen, in deren Verlauf Elektronen übertragen werden, es finden also Reduktionen und Oxidationen statt.

Transkription: Biochemische Umschreibung der DNA-Sequenz im Zellkern in eine entsprechende RNA-Sequenz, die im Zellplasma für die Ribosomen als Matrize dient.

Translation: Biochemische Übersetzung der mRNA-Sequenz entsprechend dem genetischen Code in die Abfolge der Aminosäure des codierten Proteins.

Literatur

Albertin CB et al. (2022) Genome and transcriptome mechanisms driving cephalopod evolution. Nat. Commun. 13, 2472, doi.org/10.1038/s41467-022-29748-w.

Binder H (2023) Auffällig ähnliche Muster in Chromosomen verschiedener Lebewesen. Stud. Int. J. 30, 51–53.

Schmidbaur H et al. (2022) Emergence of cephalopod gene regulation and expression through large-scale genome reorganization. Nat. Commun. 13, 2172, doi.org/10.1038/s41467-022-29694-7.

Tintenfische mit ihrem speziellen Aussehen und besonderen Verhalten wecken immer wieder das Interesse von Forschern. Vor allem das umfangreiche und komplexe Genom (Erbgut) steht in diesem Zusammenhang im Fokus. Dabei stellt sich heraus, dass das Erbgut von Tintenfischen auffällige Abweichungen von anderen Genomen in Aufbau und Organisation aufweist.


Lesen Sie diesen Beitrag in folgenden Formaten