Abiogenese
55 Elemente
Alle Elemente
-
-
-
-
Brutstätten der ersten Zellen Neue Vorschläge zur Entstehung erster Lebewesen
Abstract : 26PDF : 1 HTML : 2 -
-
-
-
Neue Synthese für Nukleinsäure-Bausteine – ein plausibler Weg zu ersten Nukleinsäuren?
Abstract : 36PDF : 6 HTML : 3 -
„Fast lebendige Moleküle“ RNA-Moleküle – hohe Erwartungen für die Lebensentstehung
Abstract : 32PDF : 4 HTML : 3 -
-
-
Homochiralität: astrophysikalischer Mechanismus zur Anreicherung von Aminosäure-Enantiomeren?
Abstract : 34PDF : 10 HTML : 7 -
-
-
Die fehlenden Spiegelbilder Erklärungsversuche für das Phänomen der natürlichen Homochiralität
Abstract : 5PDF : 6 HTML : 9 -
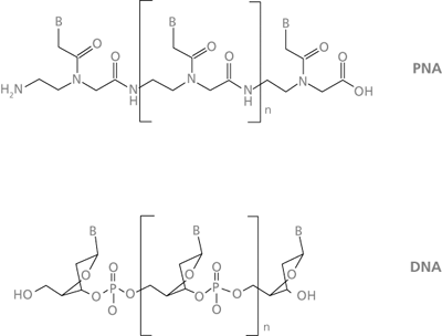
Geburtshelfer in der Ursuppe? „PNA-Welt“ – plausibler als eine „RNA-Welt“?
Abstract : 4PDF : 0 HTML : 0 -
-
Experimentelle Details zu einer populären Idee der Lebensentstehung
Abstract : 42PDF : 11 HTML : 10 -
-
-
„RNA-Welt“ – Chemisches Missing Link zwischen Ursuppe und ersten Zellen?
Abstract : 4PDF : 1 HTML : 2 -
-
-
-